EasyManua.ls Logo

Daitsu DS-18KIDB - Page 54

Daitsu DS-18KIDB
95 pages
Print Icon
To Next Page IconTo Next Page
To Next Page IconTo Next Page
To Previous Page IconTo Previous Page
To Previous Page IconTo Previous Page
Loading...
58
Installation and Maintenance
Service Manual
(4)
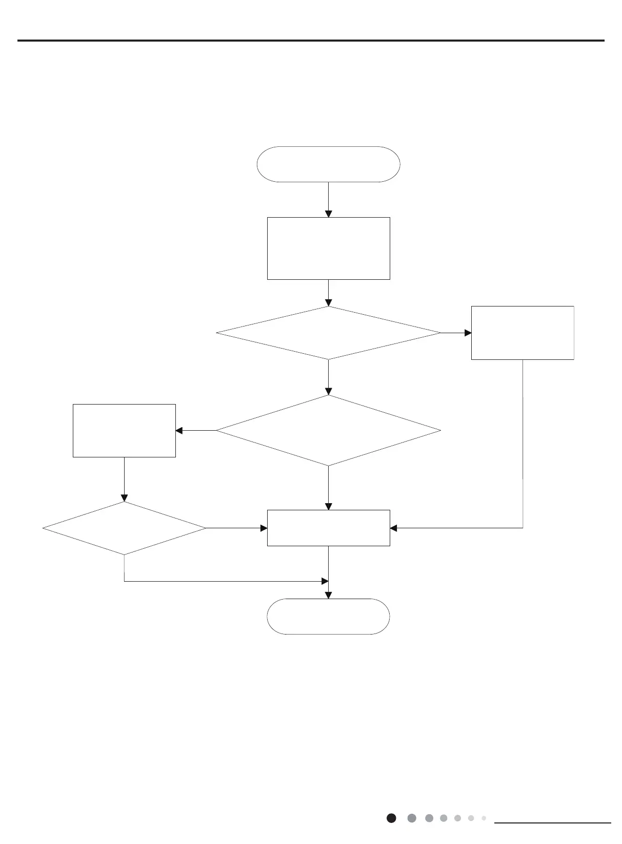
Charging Malfunction of Capacitor (PU)
Main check point:
Whether input power is normal?
Main board is damaged.
Malfunction diagnosis process:
Energize and turn on the unit;
wait for 1 min
There is malfunction for the
detection circuit on main
board of outdoor unit
Check the input power and
resume the power supply
normal
Is malfunction eliinated?
Measure the voltage at
both ends of big electrolytic
capacitor with the DC notch of
universal meter
Is the voltage more than
100V?
Check whether the input
voltage is within the normal
range?
Replace main board of
outdoor unit
End
No
No
No
Yes
Yes
Yes

Related product manuals