EasyManua.ls Logo

Daitsu DS-18KIDB - Page 55

Daitsu DS-18KIDB
95 pages
Print Icon
To Next Page IconTo Next Page
To Next Page IconTo Next Page
To Previous Page IconTo Previous Page
To Previous Page IconTo Previous Page
Loading...
59
Installation and Maintenance
Service Manual
(5)
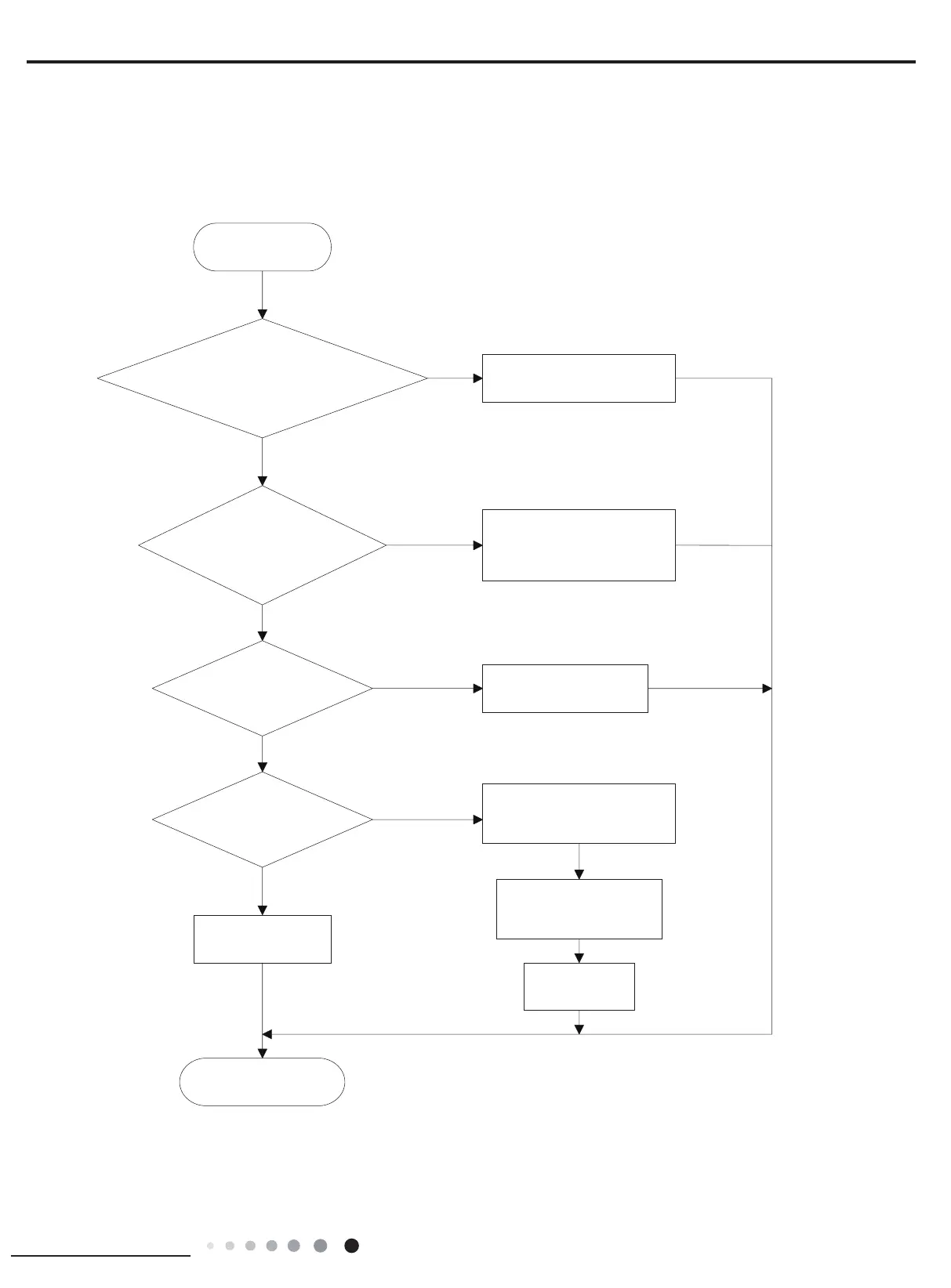
Malfunction of Overload Protection (E8)
Main check point:
Whether the tube temperature sensor is normal?
Whether the outdoor ambient temperature is within the normal range?
Whether indoor fan and outdoor fan can operate normally?
Whether radiation environment inside or outside the unit is good?
Malfunction diagnosis process:
Start
Check whether outdoor and indoor tube
temperature sensors are normal?
Replace the tube temperature
sensor
Normal protection. Please
improve the ambient temperature
Improve the radiation
environment for the unit
Check whether the fan
terminal is connected well.
Whether the fan is damaged
Replace fan capacitor
(unavailable for DC fan)
Replace outdoor
fan
Whether outdoor ambient
temperature is more than 53
o
C?
Whether radiation inside or
outdoor the unit is good?
Whether outdoor fan
operates normally?
Replace main board of
outdoor unit
End
No
Yes
Yes
Yes
Yes
No
No
No
Remark:
When overload protection occurs under cooling mode, its because the main board detected the outdoor tube temperature sensor
exceeds limited temperature and then the unit stops operation. Please check outdoor tube temperature sensor;
When overload protection occurs under heating mode, its because the main board detected the indoor tube temperature sensor
exceeds limited temperature and then the unit stops operation. Please check indoor tube temperature sensor;

Related product manuals