EasyManua.ls Logo

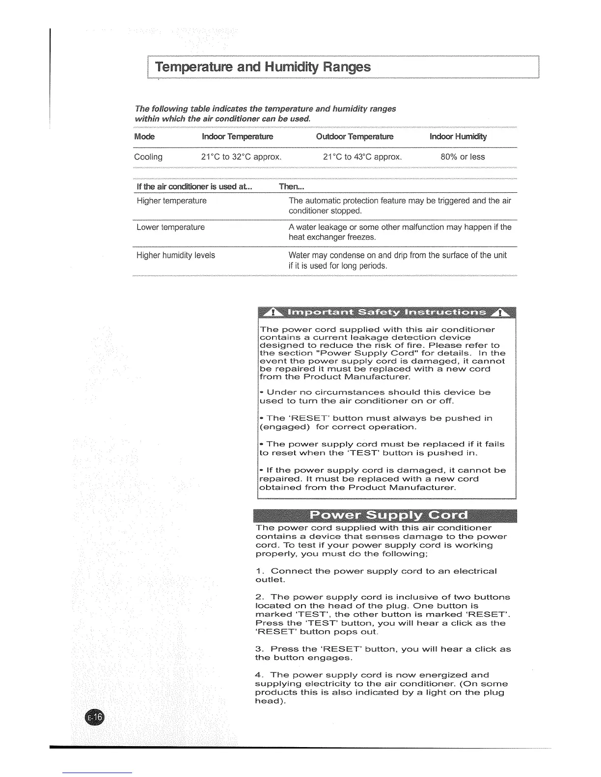
Danby DAC8008EE - Recommendations for Use; Temperature and Humidity Ranges

Danby DAC8008EE
19 pages
Print Icon
To Next Page IconTo Next Page
To Next Page IconTo Next Page
To Previous Page IconTo Previous Page
To Previous Page IconTo Previous Page
Loading...

Related product manuals