EasyManua.ls Logo

Danfoss VLT 5000 Series - Page 105

Danfoss VLT 5000 Series
192 pages
Print Icon
To Next Page IconTo Next Page
To Next Page IconTo Next Page
To Previous Page IconTo Previous Page
To Previous Page IconTo Previous Page
Loading...
VLT
®
5000 Series
Description of choice:
NB!:
For VLT 5001-5006, 200-240 V, VLT
5001-5011, 380-500 V, and VLT 5011,
550-600 V it is only possible to choose
torque characteristics from [1] to [8].
If a high torque characteristic [1]-[5] is selected, the
frequency converter is able to provide 160% torque. If
a normal torque characteristic [11]-[15] is selected, the
frequency converter is able to provide 110% torque.
The normal mode is used for oversize motors.
Please note that the torque can be limited
in parameter 221.
If Constant torque is selected, a load-dependent U/f
characteristic is obtained in which the output voltage is
increased in the case of an increasing load (current) so
as to maintain constant magnetisation of the motor.
Select Variable torque low, Variable torque medium
or Variable torque high if the load is variable
(centrifugal pumps, fans).
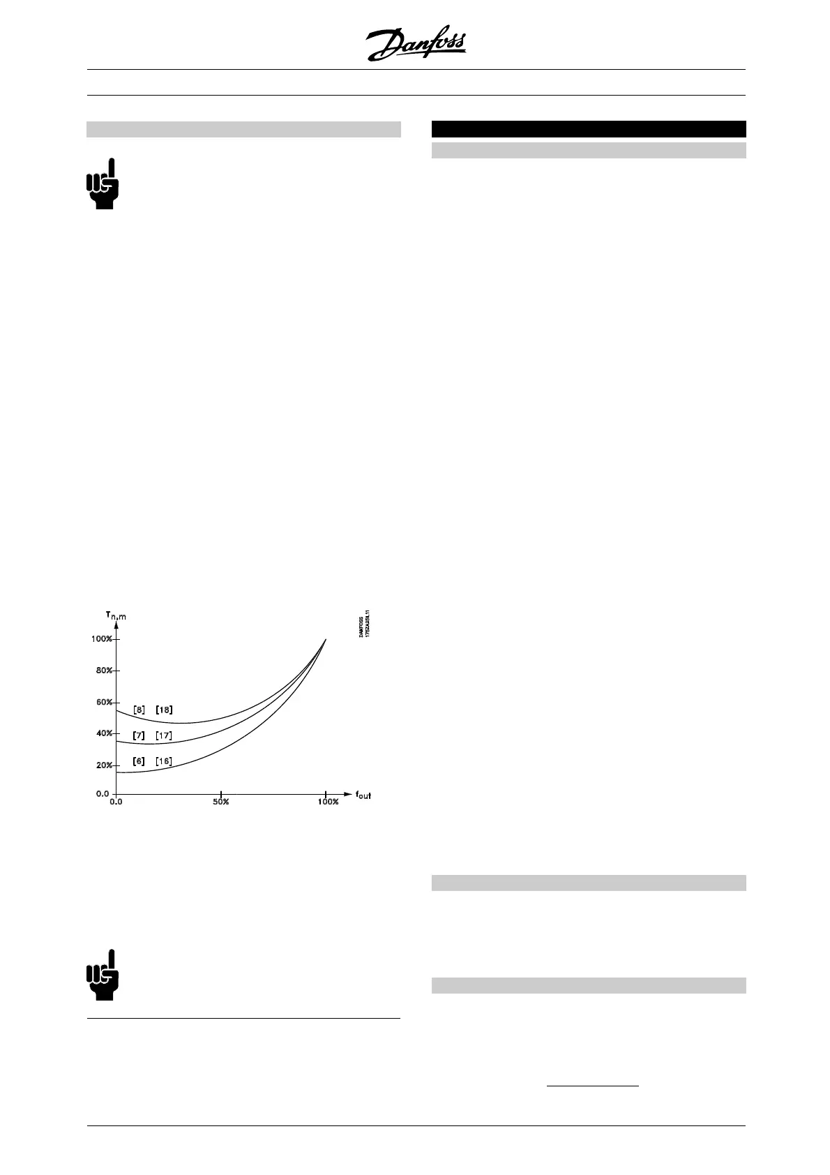
Select High-variable torque with low [6], medium
[7] or high [8] starting torque if a higher breakaway
torque is required than that obtainable with the three
first-mentioned characteristics, see fig. below.
Choose the torque characteristics giving the most
reliable operation, the lowest possible energy
consumption and the lowest acoustic noise.
Select Special motor characteristics if a special U/f
setting is required to match the motor in question.
Set the break points in parameters 422-432.
NB!:
Slip compensation is not active if a variable
torque or special motor characteristics are used.
102 Motor power (MOTOR POWER)
Value:
0.18 kW (0.18 KW)
[18]
0.25 kW (0.25 KW)
[25]
0.37 kW (0.37 KW)
[37]
0.55 kW (0.55 KW)
[55]
0.75 kW (0.75 KW)
[75]
1.1 kW (1.10 KW)
[110]
1.5 kW (1.50 KW)
[150]
2.2 kW (2.20 KW)
[220]
3 kW (3.00 KW)
[300]
4 kW (4.00 KW)
[400]
5.5 kW (5.50 KW)
[550]
7.5 kW (7.50 KW)
[750]
11 kW (11.00 KW)
[1100]
15 kW (15.00 KW)
[1500]
18.5 kW (18.50 KW)
[1850]
22 kW (22.00 KW)
[2200]
30 kW (30.00 KW)
[3000]
37 kW (37.00 KW)
[3700]
45 kW (45.00 KW)
[4500]
55 kW (55.00 KW)
[5500]
75 kW (75.00 KW)
[7500]
90 kW (90.00 KW)
[9000]
110 kW (110.00 KW)
[11000]
132 kW (132.00 KW)
[13200]
160 kW (160.00 KW)
[16000]
200 kW (200.00 KW)
[20000]
250 kW (250.00 KW)
[25000]
280 kW (280.00 KW)
[28000]
315 kW (315.00 KW)
[31500]
355 kW (355.00 KW)
[35500]
400 kW (400.00 KW)
[40000]
450 kW (450.00 KW)
[45000]
500 kW (500.00 KW)
[50000]
530 kW (530.00 KW)
[53000]
560 kW (560.00 KW)
[56000]
630 kW (630.00 KW)
[63000]
Depends on the unit
Function:
Selects the kW value that corresponds to the
rated power of the motor.
A rated kW value has been selected from the
factory that depends on the unit size.
Description of choice:
Select a value that equals the nameplate data on the
motor. There are 4 possible undersizes or 1 oversize
in comparison with the factory setting.
Also, alternatively it is possible to set the value for
motor power as an i
nfinitely variable value.
= factory setting. () = display text [] = value for use in communication via serial communication port
MG.51.A9.02 - VLT is a registered Danfoss trademark
104

Table of Contents

Other manuals for Danfoss VLT 5000 Series

Related product manuals