EasyManua.ls Logo

DeWalt DCN693 - Page 40

DeWalt DCN693
40 pages
Print Icon
To Previous Page IconTo Previous Page
To Previous Page IconTo Previous Page
Loading...
D
e
WALT Industrial Tool Co., 701 East Joppa Road, Towson, MD 21286
(AUG17) Part No. N534998 DCN693 Copyright © 2016, 2017 D
e
WALT
The following are trademarks for one or more D
e
WALT power tools: the yellow and black color scheme, the “D” shaped air intake grill, the array of pyramids on the handgrip, the kit box configuration,
and the array of lozenge-shaped humps on the surface of thetool.
D
e
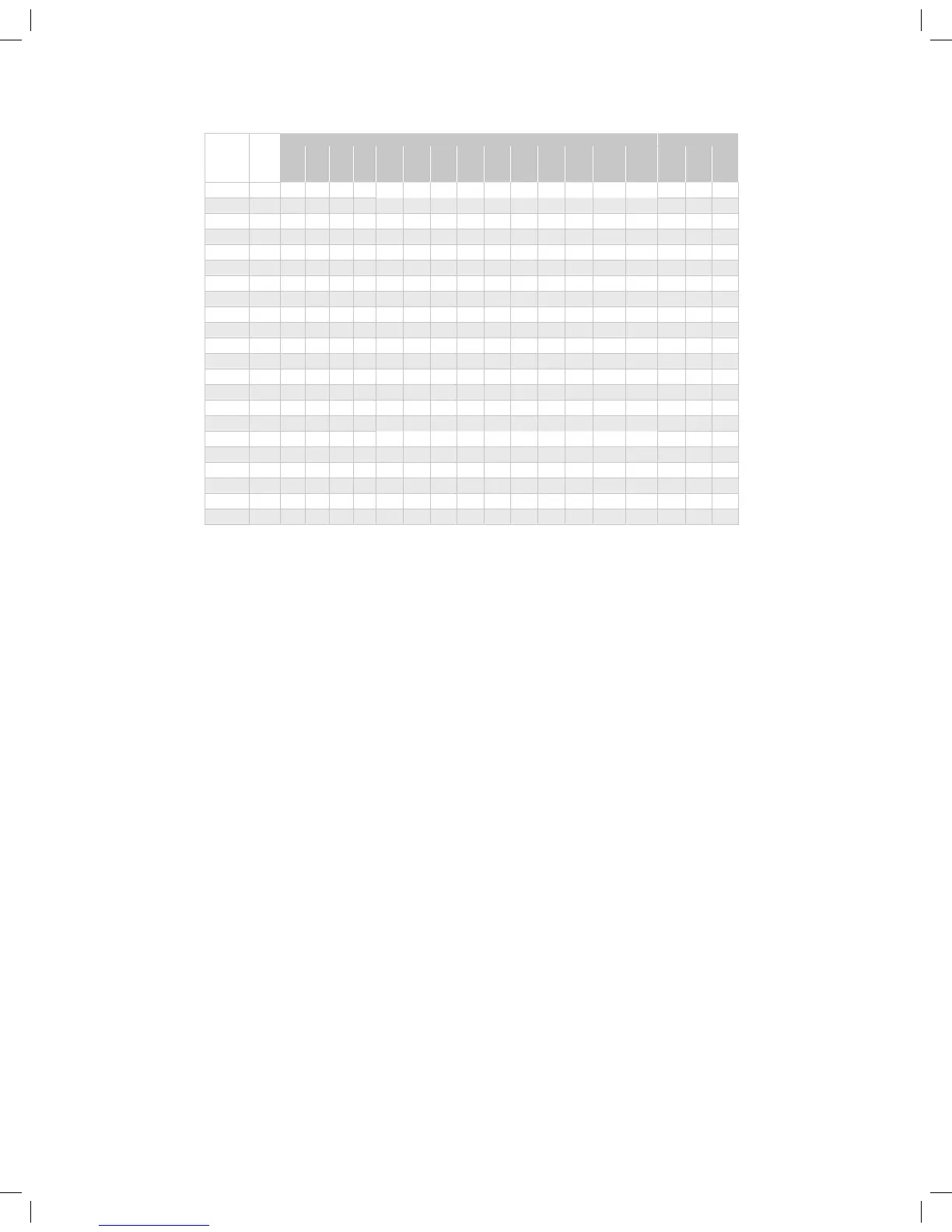
WALT BATTERY AND CHARGER SYSTEMS
Chargers/Charge Time (Minutes) . Chargeurs/Durée de charge (Minutes) .
Cargadores de baterías/Tiempo de carga (Minutos)
Battery
Cat #
Output
Voltage
120 Volts 12 Volts
DC9000
DC9310
DC9320
DCB095
DCB102
DCB103
DCB107
DCB112
DCB113
DCB114
DCB115
DCB116
DCB118
DCB132
DCB119
DW0249
DCB412
DCB609 20/60 X X X X 135 135 432 270 230 X 135 X 75 270 X X X
DCB606 20/60 X X X X 100 100 272 170 140 X 90 X 60 90 X X X
DCB404 40 X X X X X X X X X 90 X 30 X X X X 130
DCB406 40 X X X X X X X X X 130 X 45 X X X X 190
DCB407 40 X X X X X X X X X 170 X 60 X X X X 235
DC9360 36 45 X X X X X X X X X X X X X X X X
DCB361 36 45 X X X X X X X X X X X X X X X X
DC9280 28 60 X X X X X X X X X X X X X X X X
DW0242 24 X X X X X X X X X X X X X X X 60 X
DCB200 20 X X X X 60 60 140 90 67 X 45 X 45/30** 45 90 X X
DCB201 20 X X X X 30 30 70 45 35 X 22 X 22 22 45 X X
DCB203 20 X X X X 35 35 90 60 45 X 30 X 30 30 60 X X
DCB203BT* 20 X X X X 35 35 90 60 45 X 30 X 30 30 60 X X
DCB204 20 X X X X 70 70 185 120 90 X 60 X 60/40** 60 120 X X
DCB204BT* 20 X X X X 70 70 185 120 90 X 60 X 60 60 120 X X
DCB205 20 X X X X 95 95 240 150 112 X 75 X 75/47** 75 150 X X
DCB206 20 X X X X 100 100 272 170 140 X 90 X 60 90 X X X
DCB207 20 X X X X 30 30 60 40 30 X 22 X 22 22 X X X
DC9182 18 X 40 40 X X 40 X X X X X X X X X 40 X
DCB120 12 X X X X 30 30 60 45 35 X 20 X X
X 45 X X
DCB127 12 X X X X 35 35 90 60 50 X 30 X X X 60 X X
DCB080 8 X X X 60 X X X X X X X X X X X X X
*BT - Bluetooth® NOTE: The Bluetooth® word mark and logos are registered trademarks owned by the Bluetooth®,
SIG, Inc. and any use of such marks by
DeWALT
is under license. Other trademarks and trade names are those of their
respective owners.
**Battery Datecode 201536 or later.
“X” Indicates that the battery pack is not compatible with that specific charger. All charge times are approximate. Actual charge time may vary. Read the instruction manual for more specific
information.
“X” indique que le bloc-piles n’est pas compatible avec ce chargeur. Les durées de charge sont approximatives; la durée de charge rélle peut varier. Lire le manuel d’utilisation pour obtenir des
renseignements plus précis.
Una “X” indica que el paquete de baterías no es compatible con ese determinado cargador. El tiempo de duración de carga es aproximado; la duración de carga real puede variar. Lea el manual de
instrucciones para obtener información más precisa.
* Maximum initial battery voltage (measured without a workload) is 20, 60 or 120 volts. Nominal voltage is 18, 54 or 108.
(120V Max* is based on using 2 D
e
WALT 60V Max* lithium-ion batteries combined.)
* La tension initiale maximum du bloc-piles (mesurée à vide) est de 20, 60 ou 120 volts. La tension nominale est de 18, 54 ou 108. (120V Max* se base sur l’utilisation combinée de 2 blocs-piles au lithium ion
D
e
WALT de 60V Max*).
* El máximo voltaje inicial de la batería (medido sin carga de trabajo) es 20, 60 o 120 voltios. El voltaje nominal es de 18, 54 o 108. (120 V Máx* se basan en el uso de 2 baterías de iones de litio
DeWALT
de 60
V Máx* combinadas).

Other manuals for DeWalt DCN693

Related product manuals