EasyManua.ls Logo

dicodes Dani Box Mini - Battery Status

Default Icon
17 pages
Print Icon
To Next Page IconTo Next Page
To Next Page IconTo Next Page
To Previous Page IconTo Previous Page
To Previous Page IconTo Previous Page
Loading...
0
0.2
0.4
0.6
0.8
1
1.2
1.4
1.6
1.8
2
0 10 20 30 40 50 60 70 80 90
0.02
0.025
0.03
0.04
0.05
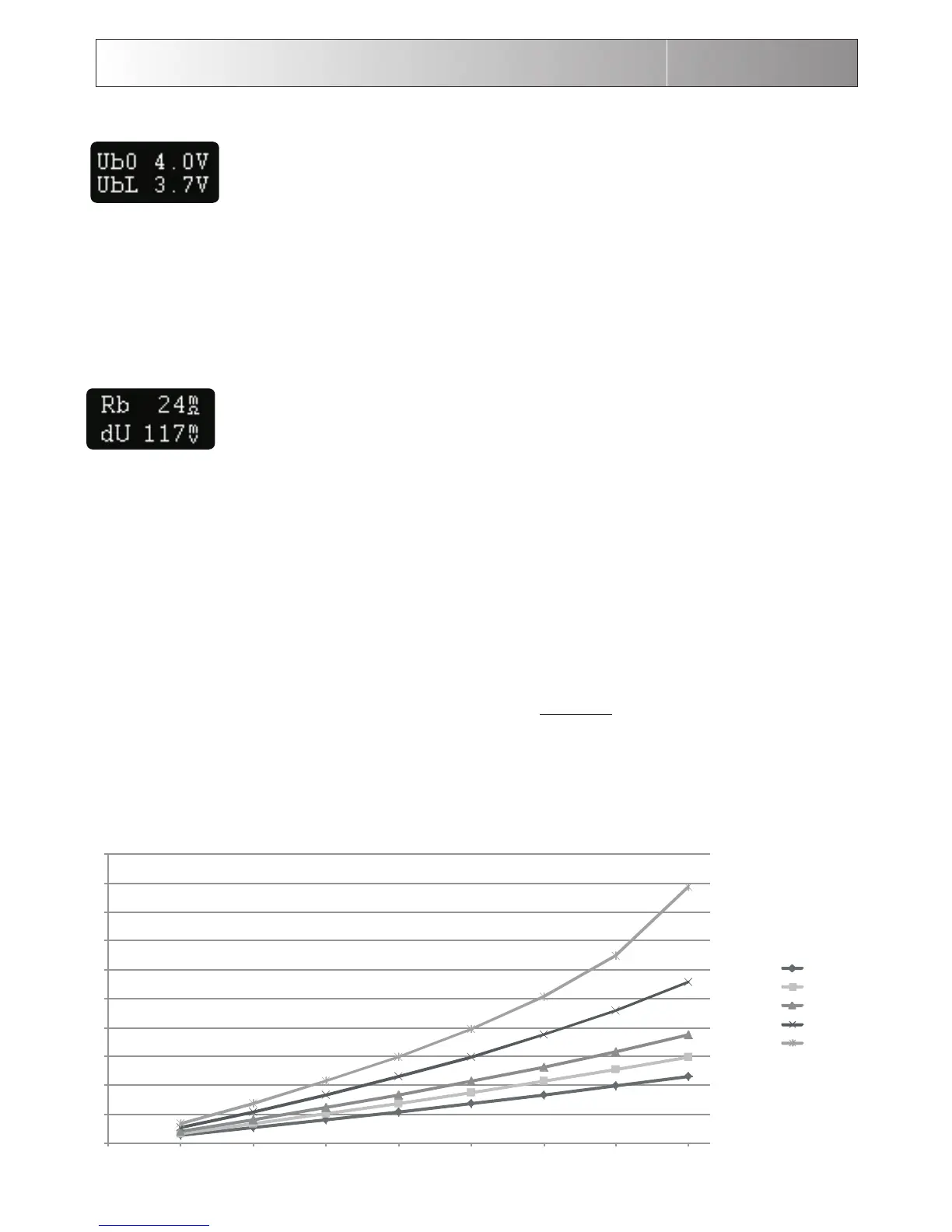
05MainMenu(Page3)
BatteryStatusPart1
TheCheckBatteryitemshowsthebatteryvoltagewithlittlecurrentdrained(Ub0)and
thebatteryvoltageunderloadduringthelastpuff(UbL).Thedifferenceisthevoltage
dropofthebattery(dU).Ahighdrop(e.g.dU>0.4V@20WanddU>0.7V@60W)indicates
apoorbatteryand/orcontactproblems.
Pleasenotethateverybatteryhasaninnerresistanceandthatthereforethevoltageatitscontactsalways
dropswhencurrentisdrained.Themorecurrentisdrained,thehigherthedropwillbe.Alwaysremember
thisbehaviour.Commonlyusedbatteriesof18650sizehaveinnerresistancesofabout18m upto
80m .Smallersizedbatteriesevenhavehigherresistances.Generallyspeaking,thebatterieswithhigh
capacityhavehigherinnerresistanceandthosewithlowercapacityalsohavelowerinnerresistance.
W
W
BatteryStatusPart2
TheDaniBoxV2andtheDaniBoxMininowhaveanadditionalfeaturesupportingthe
usertoevaluatethequalityofthebatteryandthesystemcontactsonthebatteryside.
Thisfeatureisgainingimportanceespeciallywhenvapingatveryhighpowers,i.e.
betweenabout50-80W.
WhenatthedisplaymenuitemofUb0andUbLdescribedabove,themodwilldisplaythesystem’ssource
resistanceRbandamoreaccuratemeasurementofthevoltdropUb,assoonasthevaluesofUb0andUbL
arehighlightedandtheplus-orminus-buttonispressed.Everytimeabuttonispressedthen,thedisplaywill
togglebetweenthevaluesofUb0/UbLandRb/dU.
Notethatthesevaluesmightchangeabitwhentogglingbackandforth,becausethebatteryvoltage
withoutload(Ub0)canchange,mainlyduetothetemperaturechange(cooling)aftervaping.
Thesystemssourceresistanceisthesumofthebatteriesinnerresistanceasthemaincontributionandall
contactandwiringresistancesofthedevice.Asalreadystated,typicalbatteryresistancesvaryfrom18m
to80m dependingonthetype.Thetypicalcontactandwiringresistanceofthedicodesboxessumupto
about6m .
W
W
W
Athighpower,thecurrentdrainedfromabatterywillleadtoa voltagedropatthesystemssource
resistance.ThebyfarbiggestpartofthevoltagedropiscreatedINSIDEthebatteryandNOTinthedevice.
Pleasekeepthisalwaysinmind.
Thediagrambelowshowsthevoltagedropdependingonthesourceresistancebasedonabatteryfully
chargedto4.2V.Whenthebatteryisnotfullychargedthedropwillincreaseevenmore,becauseofthe
increasingcurrentneededtoprovidethesameouputpower.
significant
Volt-drop
Power
Battery
resistance

Related product manuals