EasyManua.ls Logo

Digiplex EVO641 - 6.5.1 Programming User Settings

Digiplex EVO641
36 pages
Print Icon
To Next Page IconTo Next Page
To Next Page IconTo Next Page
To Previous Page IconTo Previous Page
To Previous Page IconTo Previous Page
Loading...
12 User Guide
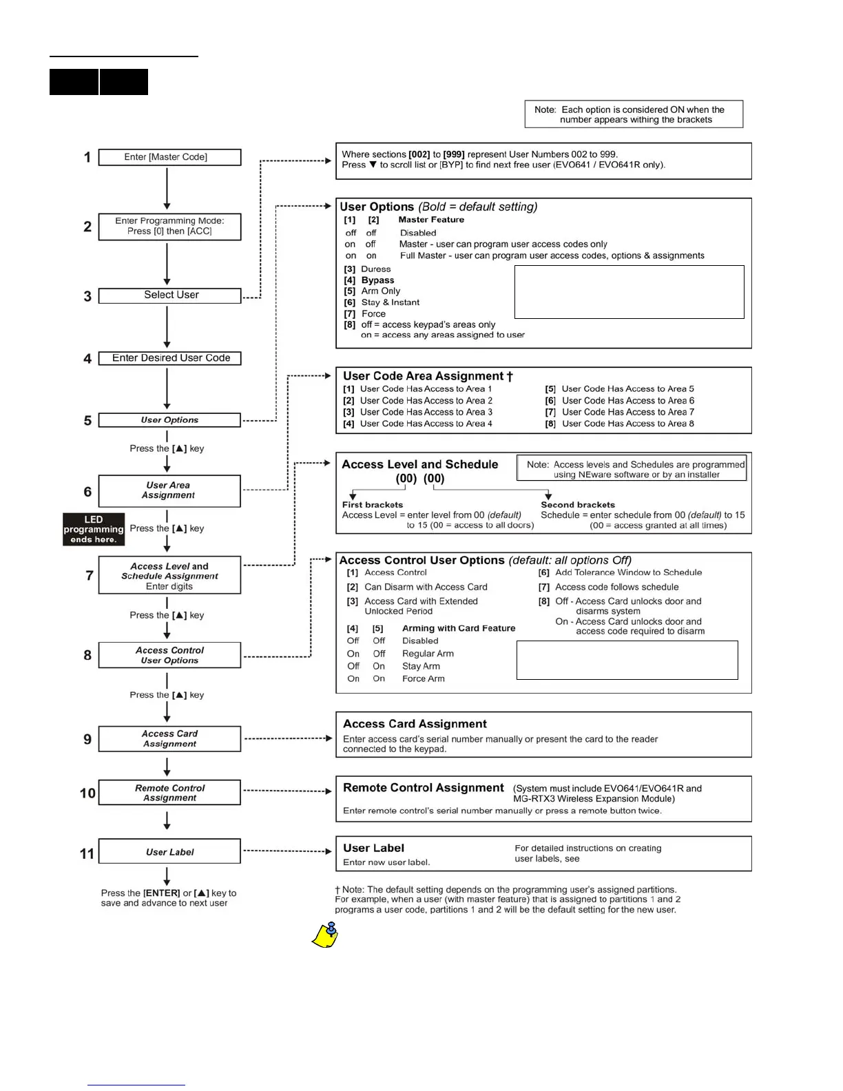
6.5.1 Programming User Settings
LCD LED
Note:
- For a detailed description of the Access Control
NOTE: If no area is assigned, and if PGMs are programmed by your installer, the user can only
control the PGMs. Refer to section 9.1 on page 19 for a more detailed explanation of PGMs.
User Options, see section 6.7 on page
User Labels on page 9.
Notes:
- For a detailed description of the User Options,
see section 6.6 on page 13.
- By default, all users can regular arm the system.