EasyManua.ls Logo

dixell XR170D - General Warning and Safety Precautions; Safety Precautions; Controlling Loads and Operation Modes; The Compressor Operation

dixell XR170D
10 pages
Print Icon
To Next Page IconTo Next Page
To Next Page IconTo Next Page
To Previous Page IconTo Previous Page
To Previous Page IconTo Previous Page
Loading...
Dixell
Installing and Operating Instructions
release 7.0
1. GENERAL WARNING
1.1 Please read before using this manual
This manual is part of the product and should be kept near the instrument for easy and quick reference.
The instrument shall not be used for purposes different from those described hereunder. It cannot be used
as a safety device.
Check the application limits before proceeding.
1.2
Safety Precautions
Check the supply voltage is correct before connecting the instrument.
Do not expose to water or moisture: use the controller only within the operating limits avoiding sudden
temperature changes with high atmospheric humidity to prevent formation of condensation
Warning: disconnect all electrical connections before any kind of maintenance.
The instrument must not be opened.
Fit the probe where it is not accessible by the End User.
In case of failure or faulty operation send the instrument back to the distributor or to dIXEL s.r.l (see
address) with a detailed description of the fault.
Consider the maximum current which can be applied to each relay (see Technical Data).
Ensure that the wires for probes, loads and the power supply are separated and far enough from each
other, without crossing or intertwining.
In case of applications in industrial environments, the use of mains filters (our mod. FT1) in parallel with
inductive loads could be useful.
2. GENERAL DESCRIPTION
Models XR160C and XR170C, 32x74 mm format, are microprocessor based controllers suitable for
applications on medium or low temperature refrigerating units. They are provided with three relay outputs to
control compressor, defrost - which can be either electrical or hot gas - and the evaporator fans. They are also
provided with two PTC probe inputs, one for temperature control, the other to be located onto the evaporator
to control the defrost termination temperature.
Model XR170C also features an additional relay for the alarm output and an internal buzzer for acoustic signal.
Models XR160D and XR170D, DIN RAIL format, provide the same features as the correspondent XR160C
and XR170C models. Alarm conditions in model XR160D are also signalled by a 12V/40mA output.
Models XR162C and XR172C, matched with slave devices XR30SL and XR40SL respectively, provide the
same features as XR160C and XR170C.
Each instrument is fully configurable through special parameters that can be easily programmed through the
keypad.
3. CONTROLLING LOADS
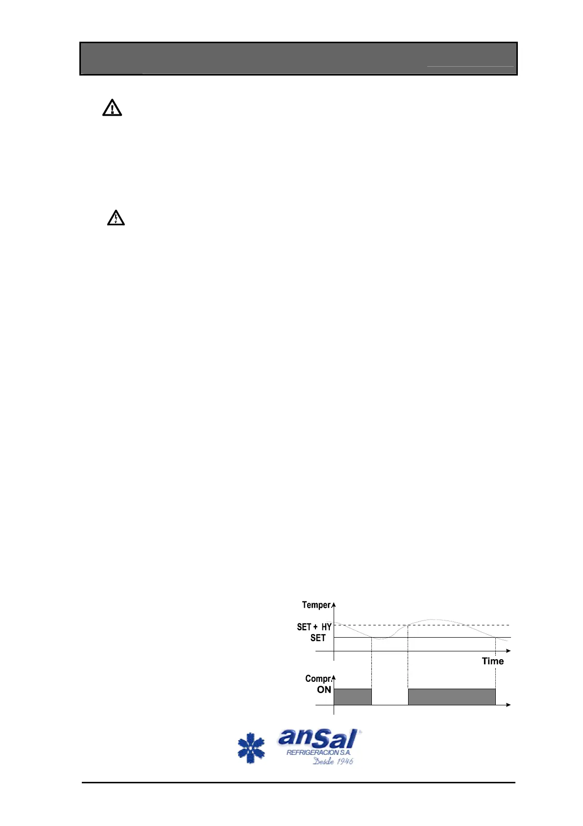
3.1 The compressor
The regulation is performed according to the
temperature measured by the thermostat probe
with a positive differential from the set point: if the
temperature increases and reaches set point plus
differential the compressor is started and then
turned off when the temperature reaches the set
point value again.
In case of fault in the thermostat probe the start
and stop of the compressor are timed through
parameters “COn” and “COF”.
952057-58 XR160C - XR170C - XR160D - XR170D - XR162C - XR172C 2/י

Related product manuals