EasyManua.ls Logo

Durr Technik KK15 - Page 55

Durr Technik KK15
88 pages
Print Icon
To Next Page IconTo Next Page
To Next Page IconTo Next Page
To Previous Page IconTo Previous Page
To Previous Page IconTo Previous Page
Loading...
0678106030L02 1411V002 53
Product description
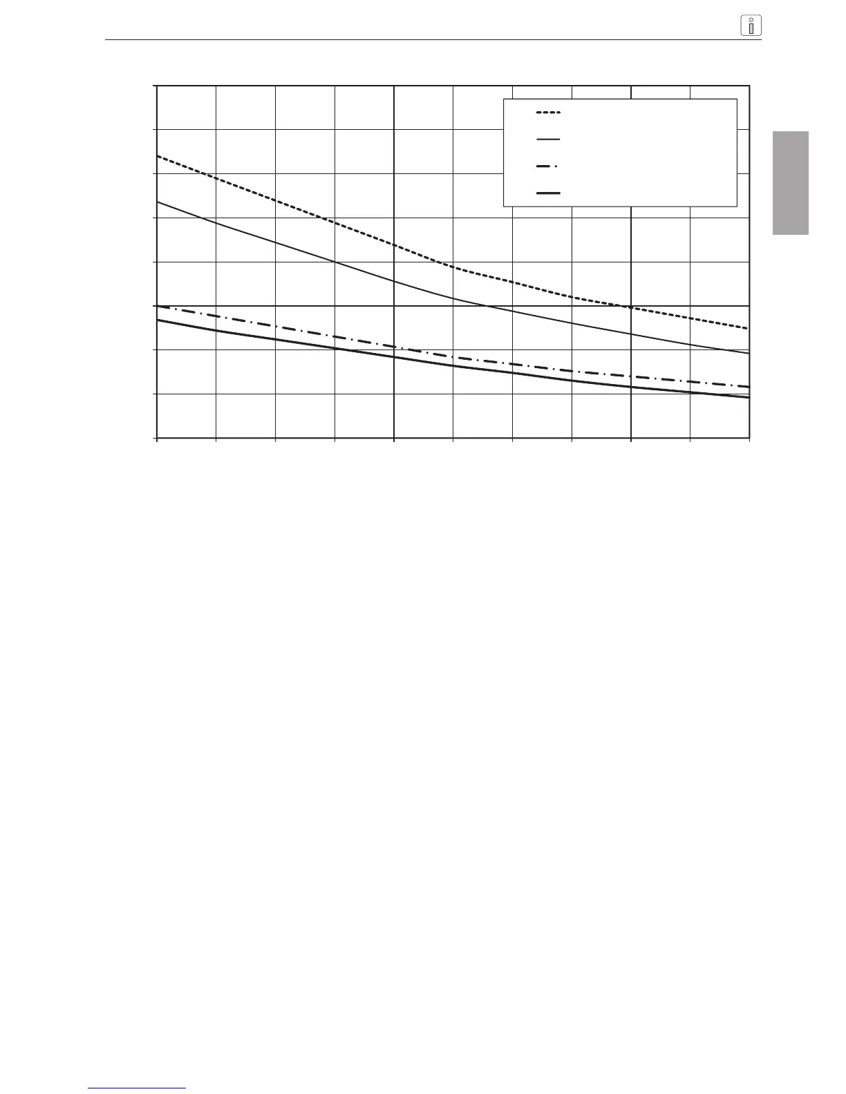
Performance diagram KK40
0
25
50
75
100
125
150
175
200
0 1 2 3 4 5 6 7 8 9 10
DG-160
AG-132 / BG-132
D-075
A-065 / B-065
Flow volume [l/min]
Pressure pe [bar]
Figure 27: Delivery volume at 50 Hz (60 Hz approx. +18%)
EN

Table of Contents