EasyManua.ls Logo

ELTEX ESR-200 - Example of Bridge Configuration for VLAN and L2 Tpv3 Tunnel

Default Icon
650 pages
To Next Page IconTo Next Page
To Next Page IconTo Next Page
To Previous Page IconTo Previous Page
To Previous Page IconTo Previous Page
Loading...
ESR series service routers.ESR-Series. User manual
145
Step Description Command Keys
13 Enable interface isolation mode on the
bridge.
In this mode, the traffic exchange
between members of the network
bridge is prohibited.
(Optional; relevant only for
ESR-1000/1200/1500/1511/1700/310
0)
esr(config-bridge)# protected-
ports [ exclude vlan ]
exclude vlan – when specifying
the given key, VLAN (connected
with bridge) is excluded from
the isolated interfaces list.
14 Prohibit unknown-unicast traffic
switching (when a destination MAC
address is not included in the switching
table) in the given bridge.
(Optional; relevant only for
ESR-1000/1200/1500/1511/1700/310
0)
esr(config-bridge)# unknown-
unicast-forwarding disable
15 Set the lifetime of IPv4/IPv6 entries in
the ARP table studied on the given
bridge (optional).
esr(config-bridge)# ip arp
reachable-time <TIME>
or
esr(config-bridge)# ipv6 nd
reachable-time <TIME>
<TIME> – lifetime of dynamic
MAC addresses, in
milliseconds. Allowed values
are from 5000 to 100000000
milliseconds. Real time of the
entry update varies from
[0,5;1,5]*<TIME>.
It is also possible to configure for the bridge interface:
QoS in basic or advanced mode (see section QoS management);
proxy (see section HTTP/HTTPS traffic proxying);
traffic monitoring (see sections Netflow configuration andsFlow configuration);
routing protocols functionality (see section Routing management);
VRRF protocol (see section Redundancy management);
BRAS functionality (see section BRAS (Broadband Remote Access Server) management);
IDS/IPS functionality (see section IPS/IDS configuration).
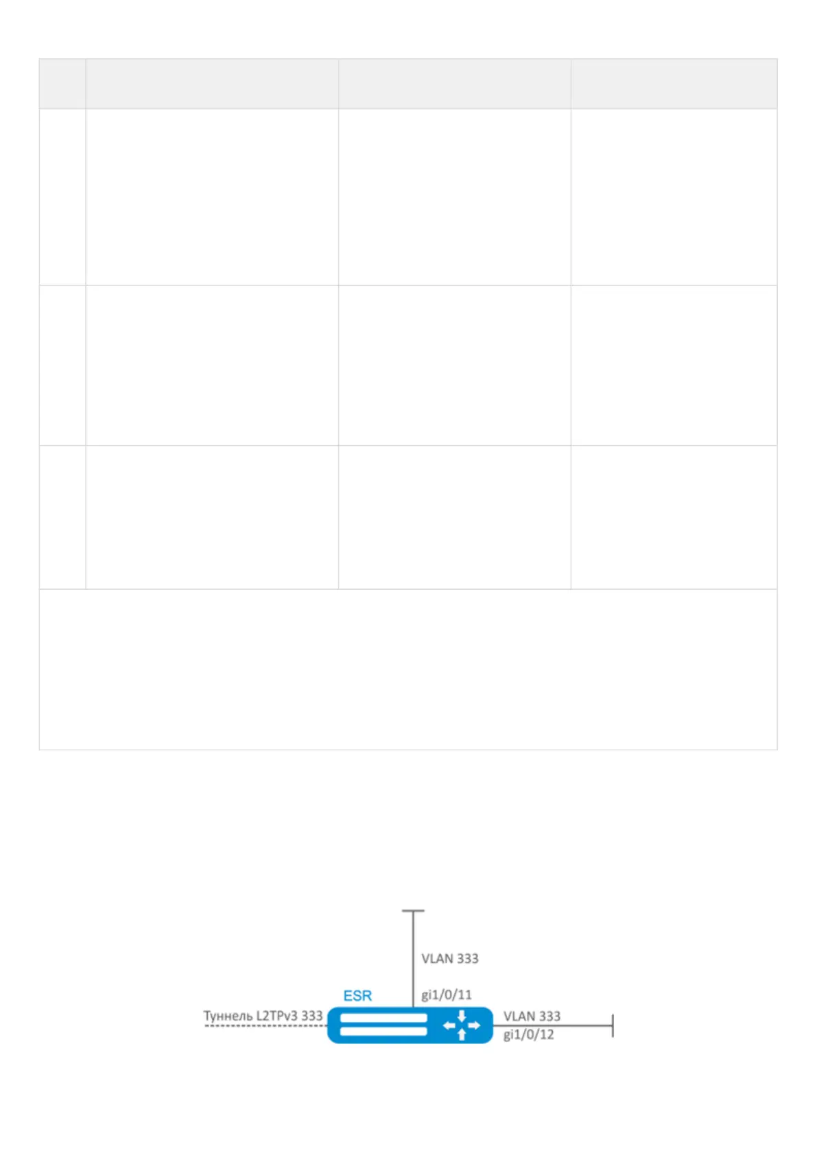
8.10.2 Example of bridge configuration for VLAN and L2TPv3 tunnel
Objective:
Combine router interfaces related to LAN and L2TPv3 tunnel passing through the public network into a single
L2 domain. For combining, use VLAN 333.

Table of Contents

Other manuals for ELTEX ESR-200

Related product manuals