EasyManua.ls Logo

Everwell MKTH2423E-16 - Page 43

Default Icon
73 pages
Print Icon
To Next Page IconTo Next Page
To Next Page IconTo Next Page
To Previous Page IconTo Previous Page
To Previous Page IconTo Previous Page
Loading...
Air Conditioner Service Manual
43
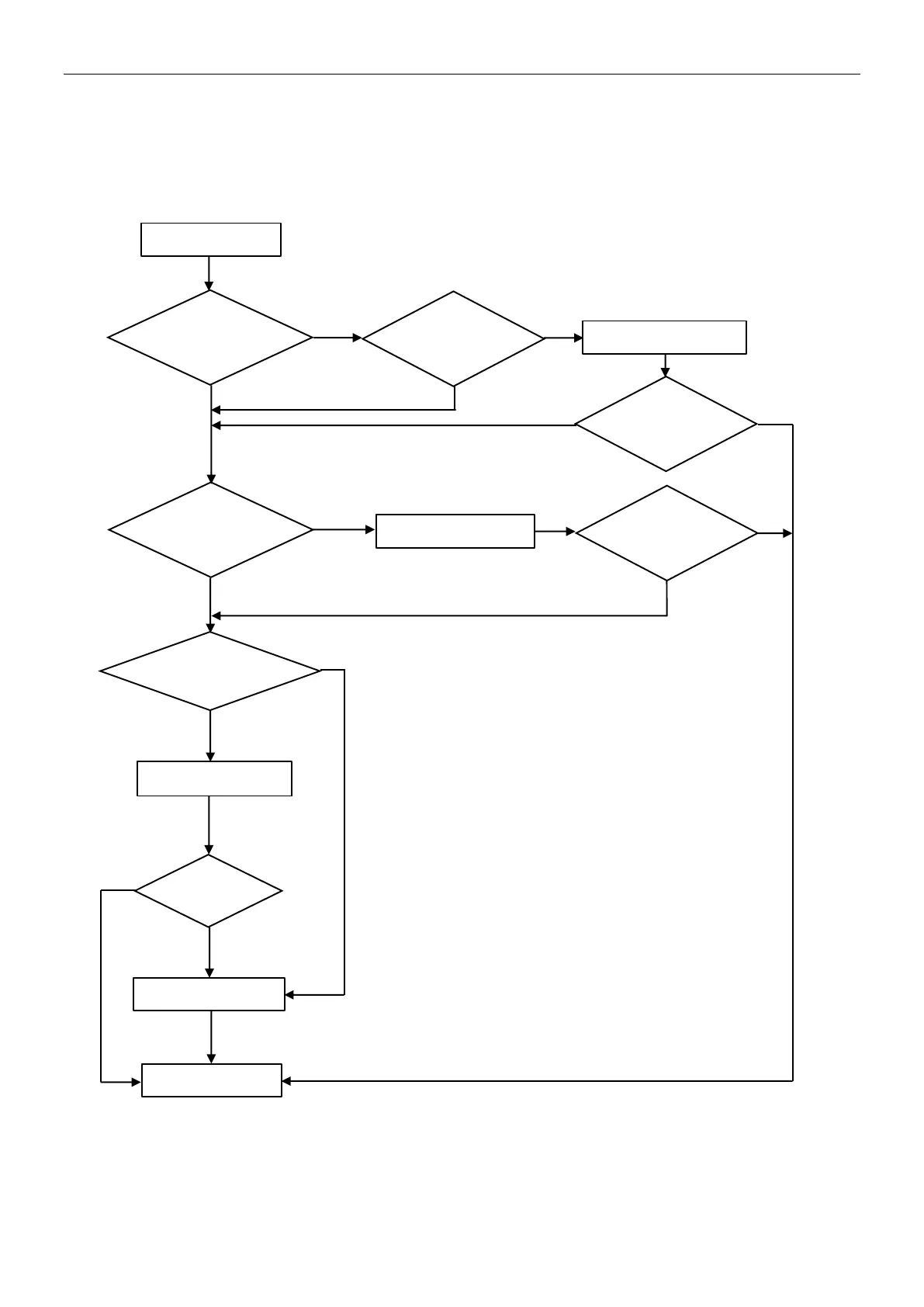
3.2.14 P6---Overheating protection on Cooling mode
On Cooling or Dry mode, when ODU condenser coil temperature OPT≥62 , MCU will switch off outdoor unit and
show P6 failure code.
Display P6
IDU fan motor
works normal?
Replace OPT sensor
Replace ODU PCB
Fan motor
broken?
Replace fan motor
End
No
No
Yes
Yes
P6 disappear?
P6 disappear?
Yes
No
Yes
No
The sensor open
or short circuit?
No
Yes
Sensor loosing
from connector?
Re-connect sensor
P6 disappear?
Yes
Yes
No

Related product manuals