EasyManua.ls Logo

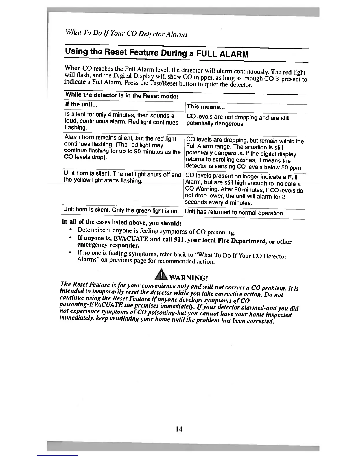
First Alert FCD2DD - What To Do If Your CO Detector Alarms; Using the Reset Feature During a Full Alarm

First Alert FCD2DD
44 pages
Print Icon
To Next Page IconTo Next Page
To Next Page IconTo Next Page
To Previous Page IconTo Previous Page
To Previous Page IconTo Previous Page
Loading...

Related product manuals