EasyManua.ls Logo

Flux FLUXTRONIC - Page 44

Flux FLUXTRONIC
Print Icon
To Next Page IconTo Next Page
To Next Page IconTo Next Page
To Previous Page IconTo Previous Page
To Previous Page IconTo Previous Page
Loading...
44 / 84 Attachment FLUXTRONIC Automatic Mode
ENGLISH
4.4 Set the decimal place of the calibration constants at the selected memory location
[DEC].
To utilise the 7-digit display to the full, the digit before the point is not displayed with the
setting range of 0.9999999.
The volume display and the total volume are deleted by changing the
calibration constants.
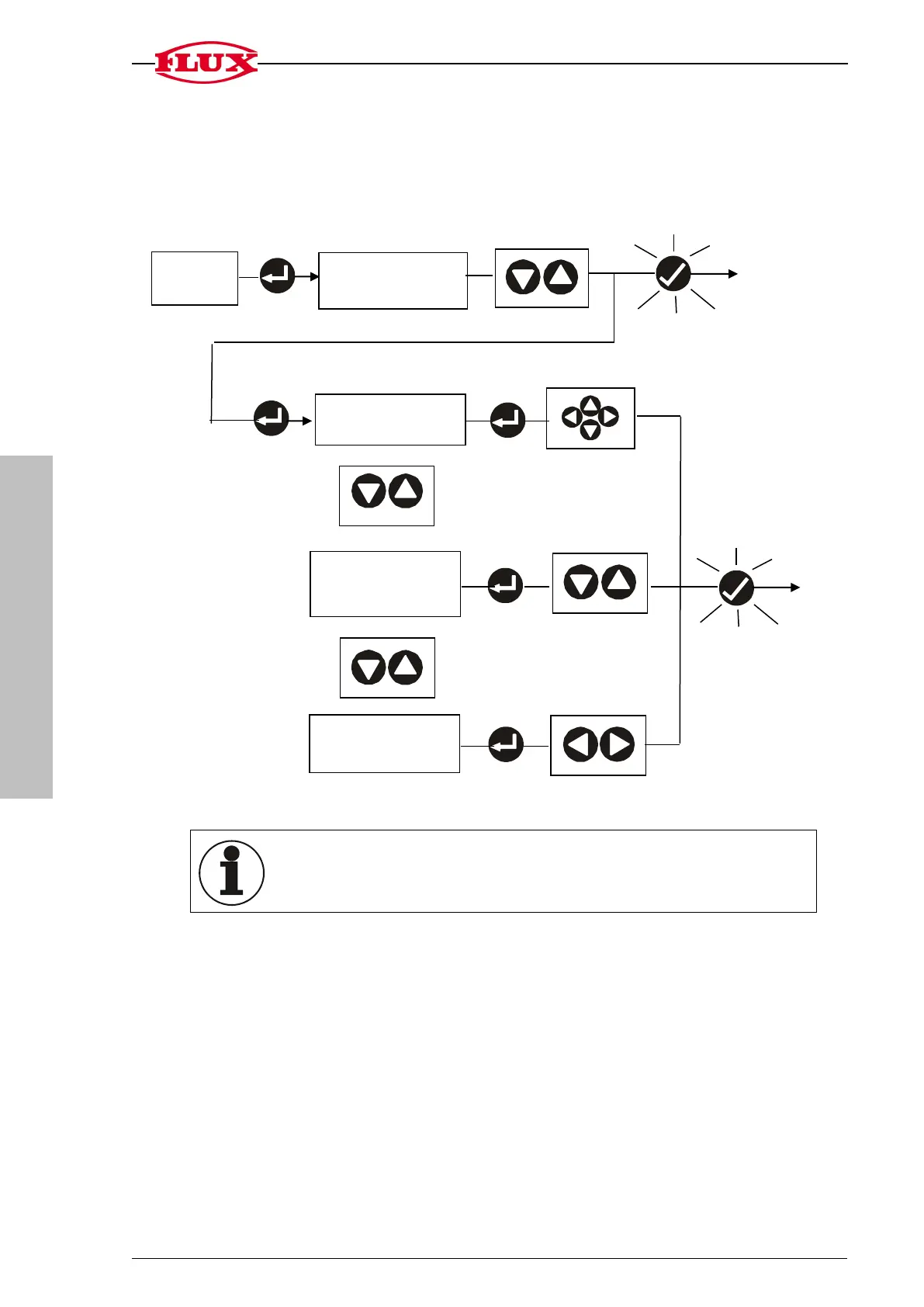
4. CAL
4.1 Change
memory location
Process
4.2 Change calibra-
tion constant [SET]
Process
Process
Select/Enter
Select
4.3 Change volume
unit [UNIT]
Process
7-digit
Operate and back
to [START]
[-], kg, g, m³, mL, L,
lmp Gal, US Gal
Select
4.4 Change decimal
place [DEC]
Process
Select
Select
0 … 3
Operate and back to [START]
Select
0 … 9

Related product manuals