EasyManua.ls Logo

Friedrich D50B - Warranty

Friedrich D50B
33 pages
Print Icon
To Next Page IconTo Next Page
To Next Page IconTo Next Page
To Previous Page IconTo Previous Page
To Previous Page IconTo Previous Page
Loading...
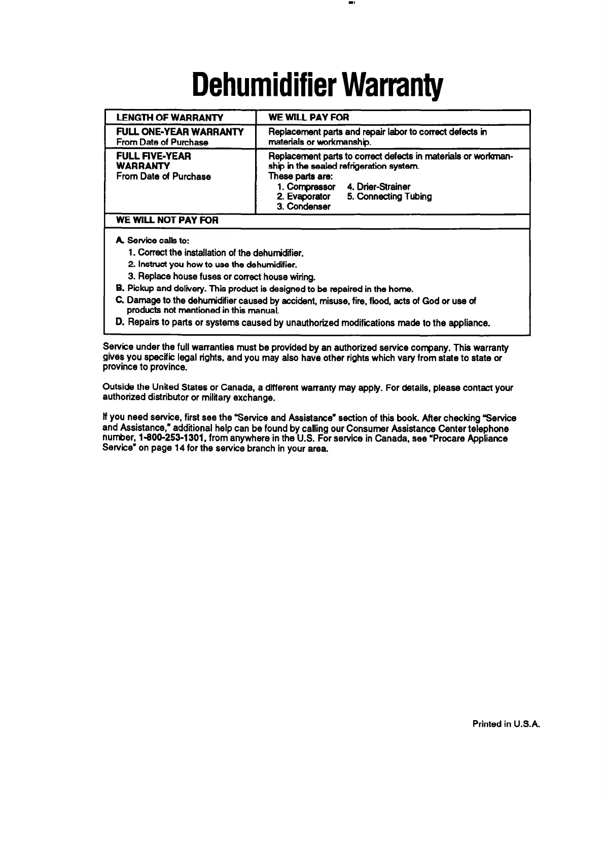
Dehumidifier Warranty
LENGTH OF WARRANTY
FULL ONE-YEAR WARRANTY
From Date of Purchase
FULL FIVE-YEAR
WARRANTY
From Date of Purchase
WE WILL NOT PAY FOR
WE WILL PAY FOR
Replacement parts and repair labor to correct defects in
materials or workmanship.
Replacement parts to correct defects in materials or workman-
ship in the sealed refrigeration system.
These parts are:
1. Compressor 4. Drier-Strainer
2. Evaporator
5. Connecting Tubing
3. Condenser
A
Service calls to:
1. Correct the installation of the dehutidiiier.
2. Instruct you how to use the dehumidifier.
3. Replace house fuses or correct house wiring.
B. Pickup and delivery. This product is designed to ba repaired in the home.
C. Damage to the dehumidifier caused by accident, misuse, fire, flood, acts of God or use of
products not mentioned in this manual.
D. Repairs to parts or systems caused by unauthorized modifications made to the appliance.
Service under the full warranties must be provided by an authorized service company. This warranty
gives you specific legal rights, and you may also have other rights which vary from state to state or
province to province.
Outside the United States or Canada, a different warranty may apply. For details, please contact your
authorized distributor or military exchange.
lf you need service, first see the “Service and Assistance” section of this book. After checking Sewice
and Assistance,” additional help can be found by calling our Consumer Assistance Center telephone
number, 1-800-253-l 301, from anywhere in the U.S. For service in Canada, see ‘Procare Appliance
Sewice” on page 14 for the service branch in your area.
Printed in U.S.A.

Related product manuals