EasyManua.ls Logo

Gardena 5000/4 i - Page 2

Gardena 5000/4 i
16 pages
Print Icon
To Next Page IconTo Next Page
To Next Page IconTo Next Page
To Previous Page IconTo Previous Page
To Previous Page IconTo Previous Page
Loading...
5000/4 i
5000/5 Inox i
4000/4 i
2
D
Bitte lesen Sie diese
Betriebsanleitung
vor Inbetriebnahme Ihres
Gerätes sorgfältig.
Seite
Betriebsanleitung 3 -15
G
Please read these operating
instructions carefully before
using the unit.
Page
Operating instructions 16- 27
F
Nous vous remercions de
bien vouloir lire attentive-
ment ce mode d’emploi
avant l’utilisation de votre
pompe.
Page
Mode d’emploi 28- 39
N
Lees deze Instructies voor
gebruik voor ingebruikname
van het apparaat zorgvuldig
door.
Pagina
Instructies voor
gebruik 40- 51
S
Läs igenom bruksanvisnin-
gen noggrant innan Du tar
Din GARDENA Pump i bruk.
Sida
Bruksanvisning 52- 63
I
Prima di mettere in uso
la nuova pompa, leggere
attentamente le istruzioni.
pagina
Istruzioni per l’uso 64-75
E
Antes de la puesta en
marcha del aparato, acon-
sejamos una atenta lectura
del presente manual de
instrucciones.
Página
Manual de
instrucciones 76- 87
P
Por favor leia atentamente
estas instruções de manejo
antes de utilizar esta bomba.
Página
Manual de
instruções 88- 99
K
Læs denne brugsanvisning
omhyggeligt igennem før
montering og igangsætning
af apparatet.
Side
Brugsanvisning 100-111
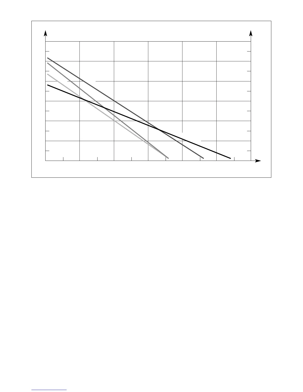
m
60
50
40
30
20
10
0
bar
6
5
4
3
2
1
0 1000 2000 3000 4000 5000 6000 l/h
4000/5 i

Related product manuals