EasyManua.ls Logo

GE GEH50DEED - Page 15

GE GEH50DEED
78 pages
Print Icon
To Next Page IconTo Next Page
To Next Page IconTo Next Page
To Previous Page IconTo Previous Page
To Previous Page IconTo Previous Page
Loading...
– 15 –
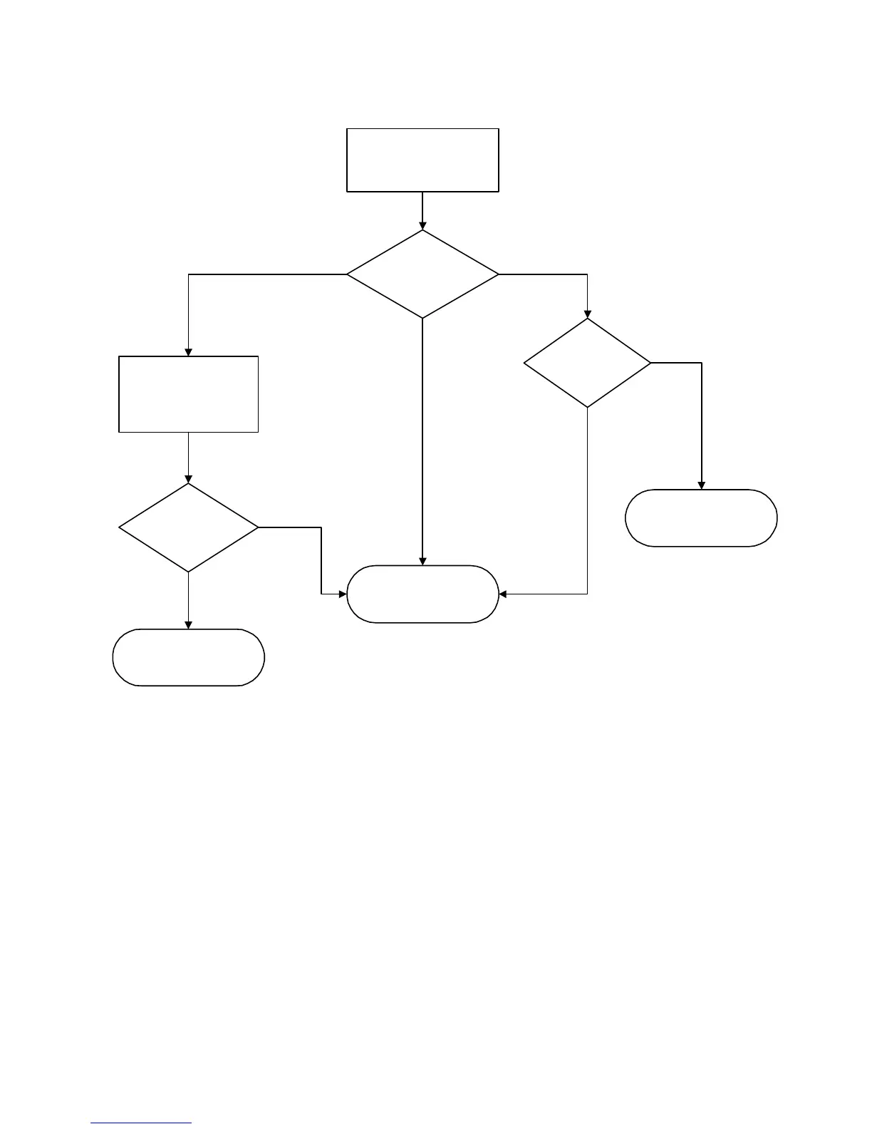
High Demand Mode
Control checks T2
(tank sensor)
T2
less than set
temperature
Upper Element on until
T2 reaches set
temperature minus 7F
(T2 = ST-7F)
Run sealed system
until T2 reaches set
temperature
T2 is less than set
temperature minus 20F
(T2< ST-20F)
T2 is less than set
temperature minus 5F
(T2< ST-5F)
Has there
been a flow
event?
Small flow of less
than 10 gallons and
T2 < ST-1F
Lower Element on
until T2 reaches set
temperature
Medium flow of
10-20 gallons
Medium flow
event active
Lower Element on
until T2 reaches set
temperature
Yes
No
Water temperature 5°F less than set point? Use Sealed system.
Water temperature 1°F less than set point. Small amount of water has been used (less than 10 gallons)? Use
sealed system.
Medium amount of water has been used (10 to 20 gallons)? Use lower element.
Water temperature 20°F less than set point? Use upper element until 7°F less than set point, then: lower
element if medium ow during upper element on time, Sealed system is no water ow during upper element
on time.
(Continued Next Page)

Related product manuals