EasyManua.ls Logo

GE MLSH041 - Audio Output Level Adjustment Procedure

GE MLSH041
26 pages
Print Icon
To Next Page IconTo Next Page
To Next Page IconTo Next Page
To Previous Page IconTo Previous Page
To Previous Page IconTo Previous Page
Loading...
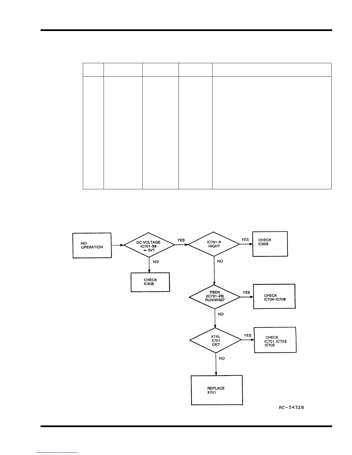
ALIGNMENT AND TROUBLESHOOTING PROCEDURES
LBI-38438A 15
5.1.7 Audio Output Level Adjustment Procedure
STEP
METERING
POINT
TUNING
CONTROL
METER
READING PROCEDURE
1 J701-1 RV601 See
Procedure
Set the signal generator to the receiver
frequency with ±3 kHz deviation and 1 kHz
modulation. Set the RF signal level to 1000
microvolts. Move P551 from J551-1, 2 to J551-
2, 3 on the Transmitter/Receiver Board.
Connect RF signal generator to J1.
Terminate J701-1, 6 with a 4 ohm, 6-watt
resistor, connect the audio level meter and the
distortion analyzer input across the resistor. Set
the volume to the maximum point. Press DOWN
button two times. Adjust RV601 for 4-watt
output (4 Vrms, using the distortion analyzer as
Volt Meter).
Return P551 to J551-1, 2.
Control Logic Troubleshooting