EasyManua.ls Logo

GE WWA8364V - Problem Solver; Lint or Residue on Clothes

GE WWA8364V
28 pages
To Next Page IconTo Next Page
To Next Page IconTo Next Page
To Previous Page IconTo Previous Page
To Previous Page IconTo Previous Page
Loading...
——.——
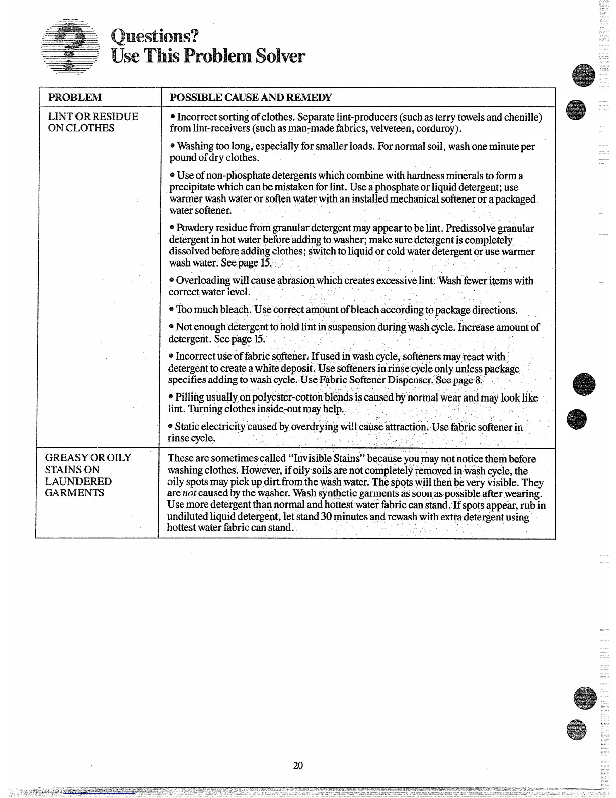
Questions?
-~ UseThk Roblem Solver
——
—~-—
—.
Lnw’oRREsmuE
ONCLOTHES
GREASYOROILY
STMNS’ON
LAUNDERED
GARMENTS
POSSIBLECAUM3ANDREWEDY
~Incorrectsortingofclothes.Separatelint-producers(suchasterrytowelsandchenille)
fromlint-receivers(suchasman-madefabrics,velveteen,corduroy).
~Washingtoolong,especiallyforsmallerloads.Fornormalsoil,washoneminuteper
poundofdryclothes.
oUseofnon-phosphamdetergentswhichcombinewithhardnessmineralstoforma
precipitatewhichcanbemistakenforlint.Useaphosphateorliquiddetergent;use
warmerwashwaterorsoftenwaterwithaninstalledmechanicalsoftenerorapackaged
watersoftener.
~Powderyresiduefromgranulardetergentmayappeartobelint.Predissolvegranular
detergentinhotwaterl?eforeaddingtowasher;makesuredetergentiscornpletel~
dissolvedbeforeaddingclothes;switchtoliquidqrcoldwaterdetergentorusewarmer
washwater.Seepage15. ,
eoverloadingwillcauseabrasionwhichcreatesexcessivelint.Washfeweritemswith
correctwaterlevel.
~Toomuchbleach.Usecorrectamountofbleachaccordingttipackagedirections.
eNotenoughdete~gentttiholdlintinsuspensiondu~ingwashcycle.Increaseamountof
detergent.Seepag~15.
~Incomectuseoffabricsoftener.Ifusedinwashcycle,softenersmayreactwith
detergenttocreat~awhitedeposit.Usesoftenersinrinsecycleonlyunlesspackage
specifiesaddingtowashcycle.?Jsel?abric.SofkmerDispenser.Seepage8.
e ~i~lingUSUdIy on polyester-cottonblendsiscausedbynormalwearandmay100klike
lint.Ilwningclothesinside-outmay~elp,.
,!
~Staticelectrici~causedbyoverdrybgwillcauskattraction.Usefab~~csofte~erin
rinsecycle.
,’
~hesearesometimescalled“InvisibleStains”becauseyoumaynotnoticethembefore
washingclothes.However,ifoilysoilsarenotcompletelyremovedinwashcycle,the
ailyspotsmaypickupdirtfromthewashwater.The,spotswillthenbeveryvisible,They
arenotcausedbythewasher.Washsyntheticgarmentsassoonaspossible.aflerwearing.
Usemoredetergentthannormalandhottestwaterfabriccanstand.Ifspotsappear,rubin
undilutedliquiddetergent,letstand30minutesandrewashwithextiadetergentusing
hottestwaterfabriccanstand..
20
.—
.—

Related product manuals