EasyManua.ls Logo

GEA Grasso - Page 45

GEA Grasso
166 pages
Print Icon
To Next Page IconTo Next Page
To Next Page IconTo Next Page
To Previous Page IconTo Previous Page
To Previous Page IconTo Previous Page
Loading...
Grasso
Refri
g
eration Division
GRASSO SYSTEM CONTROL
01.2004/1 638660E_chapter2.doc Chap. 2 - 9
Proportional zone If the process value lies within this zone the step time is calculated based on the
difference between process value and set point. The zone lies symmetric around the
set point. The input range is 2.0 through 50.0 K. Furthermore, this value must always
be greater than the value for the neutral zone.
Neutral zone As soon as the process value is within this zone, the compressor capacity is not
changed. Exception is if a capacity limitation becomes active, then the controller can
change the capacity. The zone lies symmetric around the set point. The input range is
0.1 through 10.0 K. The value must be less than the value for the proportional zone.
’Step down correction’ The ’Step down correction’ value enables the correction of the lower boundary of
the proportional zone (set point — ½ proportional zone) in case this boundary lies
below the alarm limit for low suction pressure. The capacity controller can be blocked
if at the same time a capacity limitation is active that disables the decrease of
capacity and based on process value and set point the capacity should be decreased.
In this special case the compressor is stopped immediately as soon as the process
value drops below the boundary build by ’set point — ½ proportional zone + SCD’.
Notice that this boundary must always be higher than the low suction pressure alarm
limit, otherwise this alarm will stop the compressor first.
A positive value will change the boundary ’set point — ½ proportional zone + SDC’ in
the direction of the set point. A negative value will change this boundary in the
opposite direction away from the set point. The input range is —10.0 through +10.0
K. The value It is not permitted to set the value in such a way that the boundary ’set
point — ½ proportional zone + SDC’ lies above the boundary build by ’set point — ½
neutral zone’.
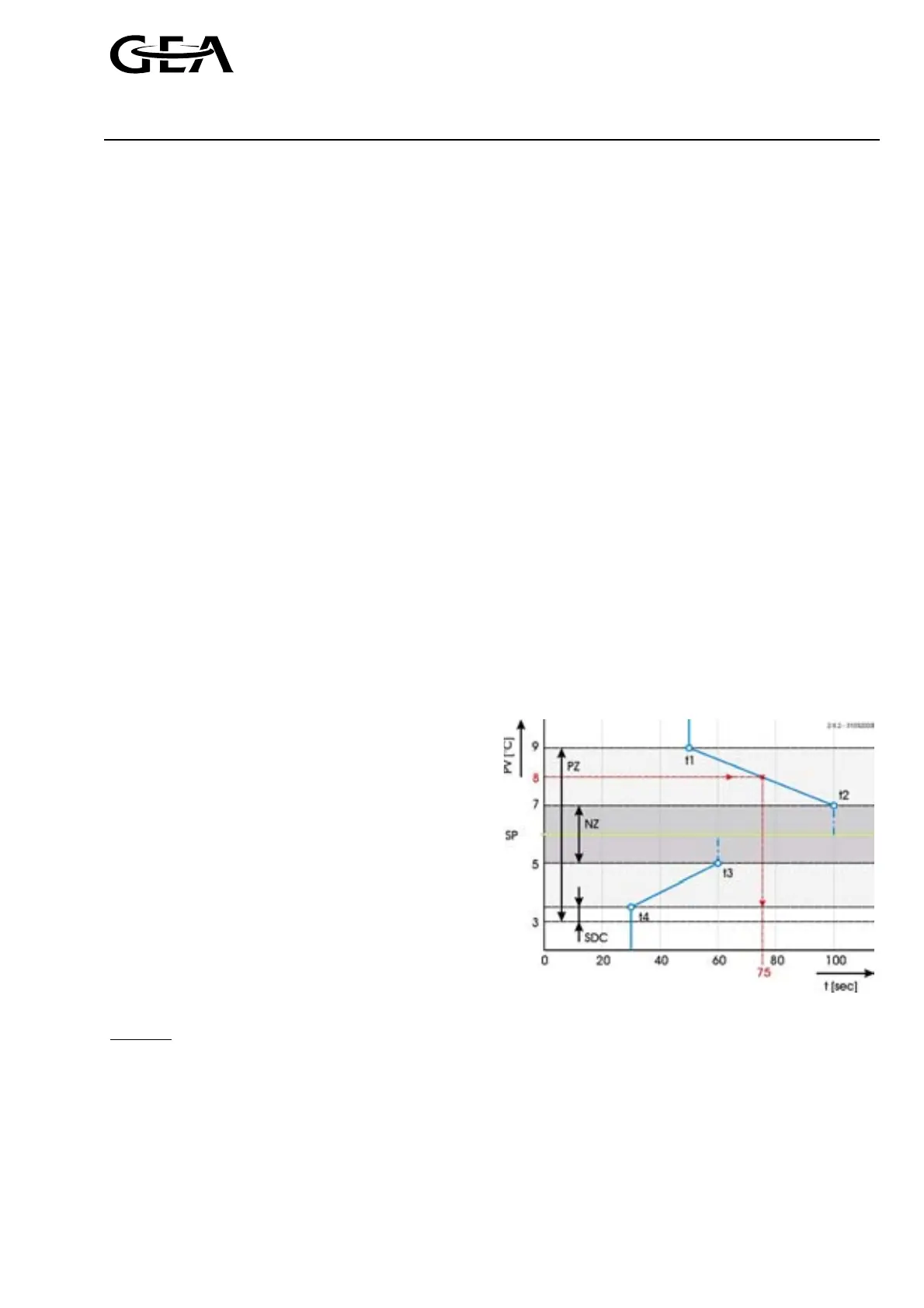
During increasing e.g. decreasing capacity, the capacity controller uses a step time to prevent too fast changes in
compressor capacity. This step time is calculated within its maximum and minimum value. This calculation is
made if the process value is within the proportional zone only. The larger the difference between process value
and set point the shorter the step time. And in the other way, the smaller the difference the longer the step
time will be. The way the step time is calculated and what the influence of the settings is on the step time are
illustrated in the following diagram.
PV.. Process value
SP.. Set point
NZ.. Neutral zone
PZ.. Proportional zone
SDC.. ’Step down correction’ value
t1.. Minimum step time for increasing capacity in s
t2.. Maximum step time for increasing capacity in s
t3.. Maximum step time for decreasing capacity in
s
t4.. Minimum step time for decreasing capacity in s
Figure 2.11, Determination of step time
Example:
The actual process value is 8,0°C. The step time is derived as following: Look for the intersection between
process value and time line t1..t2 (respectively t3..t4) and read the step time from the time axis. Result: t = 75
seconds.
) The minimum step time between two capacity steps is always 15 seconds.

Other manuals for GEA Grasso

Related product manuals