EasyManua.ls Logo

Gree YV1FB7 - 9.2 Procedure of Troubleshooting

Gree YV1FB7
65 pages
Print Icon
To Next Page IconTo Next Page
To Next Page IconTo Next Page
To Previous Page IconTo Previous Page
To Previous Page IconTo Previous Page
Loading...
31
Installation and Maintenance
Service Manual
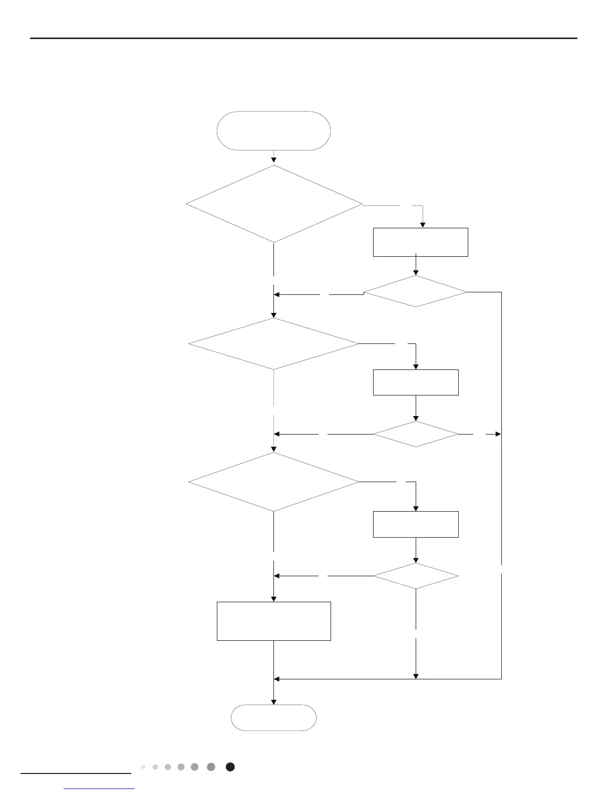
9.2 Procedure of Troubleshooting
9.2.1 F1~F5 Malfunction
Start
Insert the temperature
sensor tightly
yes
M alfunction is
eliminated.
Make the parts upright
yes
Malfunction is
eliminated.
Replace the controller with
one of the same model
End
no
no
no
no
yes
ye
s
Malfunction is
removed.
no
yes
yes
no
Is the wiring
terminal between temperature
sensor and the controller loosened or
poo rly contacted?
Is there short circuit due to trip over
of the pa rts?
Is the temperature
sensor normal according to the
Resistance Table?
Replace it with a
temperature sensor
of the same model

Related product manuals