EasyManua.ls Logo

Harison HD150B - Delivery and Storage; Installation Environment

Harison HD150B
12 pages
Print Icon
To Next Page IconTo Next Page
To Next Page IconTo Next Page
To Previous Page IconTo Previous Page
To Previous Page IconTo Previous Page
Loading...
HARISON INDUSTRIAL DEHUMIDIFIER USER'S MANUAL - Model HD-Series
07
3. INSTALLATION
3.1. Delivery and storage
To ensure consistent quality and maximum reliability, each dehumidifier is inspected before
leaving the factory. If the dehumidifier is put into storage, it will be prioritized to install, the
following precautions should be observed:
The dehumidifier must be protected from physical damage
The dehumidifier must be stored under cover and protected from dust, frost and rain.
Inspect the packing and shipment process to ensure that no damage has occurred during trans-
portation and storage. Any visible damage must be reported to nearest Harison representative.
3.2 Installation Environment
(1) The unit should be installed stably. There should be one meter of space in front of the inflow
and outflow. There should be no large obstacle around it.
(2) The machine should be set far from heat source and inflammable gas.
(3) The condensed water could be drained out of the room or into a pail.
( 4 ) It is advisable not to install in a place of heavy dust or serious pollution.
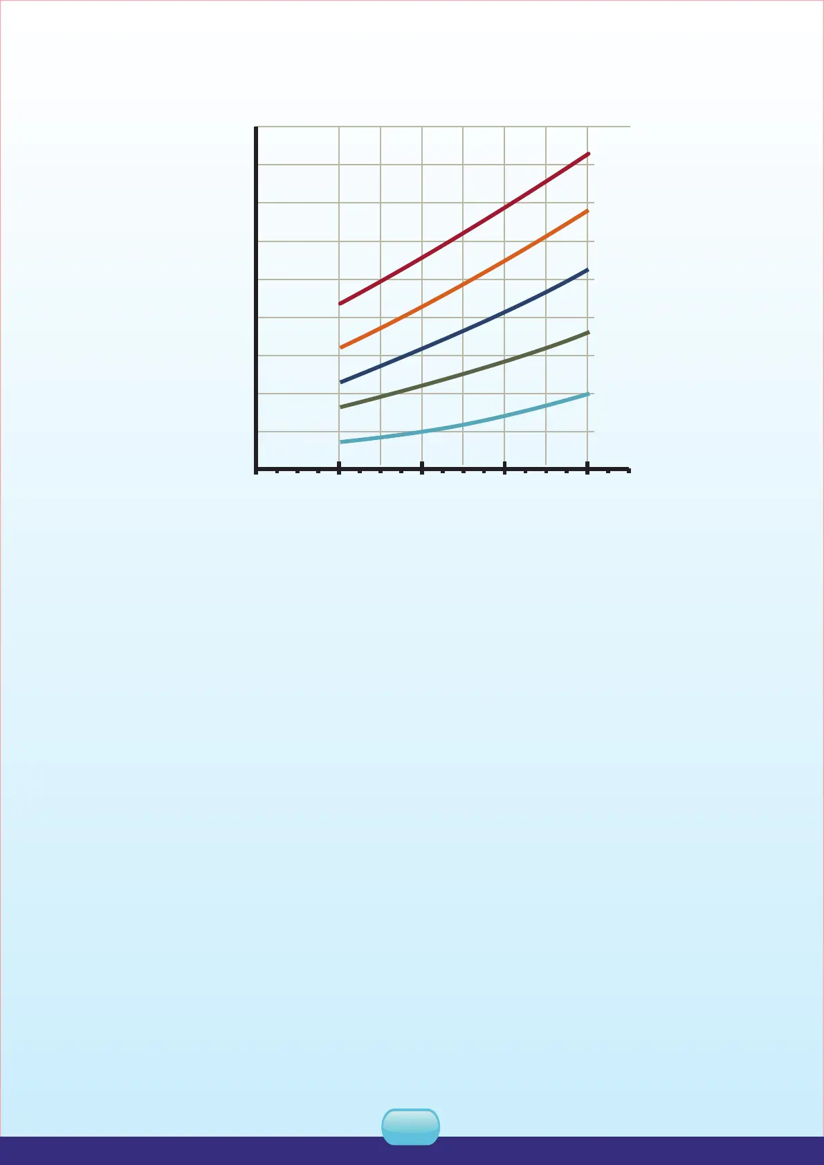
Capacity Chart
Model: HD-504B / Airflow rate: 4500CMH
22.5
20
17.5
15
12.5
10
7.5
5
2.5
0
Dehumidification Capactiy (kg/hr)
Relative Humidity (%)
30% 40% 50% 60% 70%
30
o
C
25
o
C
20
o
C
15
o
C
10
o
C