EasyManua.ls Logo

Harman JBL SRX815P - SRX818 SP - Block Diagram

Harman JBL SRX815P
38 pages
To Next Page IconTo Next Page
To Next Page IconTo Next Page
To Previous Page IconTo Previous Page
To Previous Page IconTo Previous Page
Loading...
15
 
















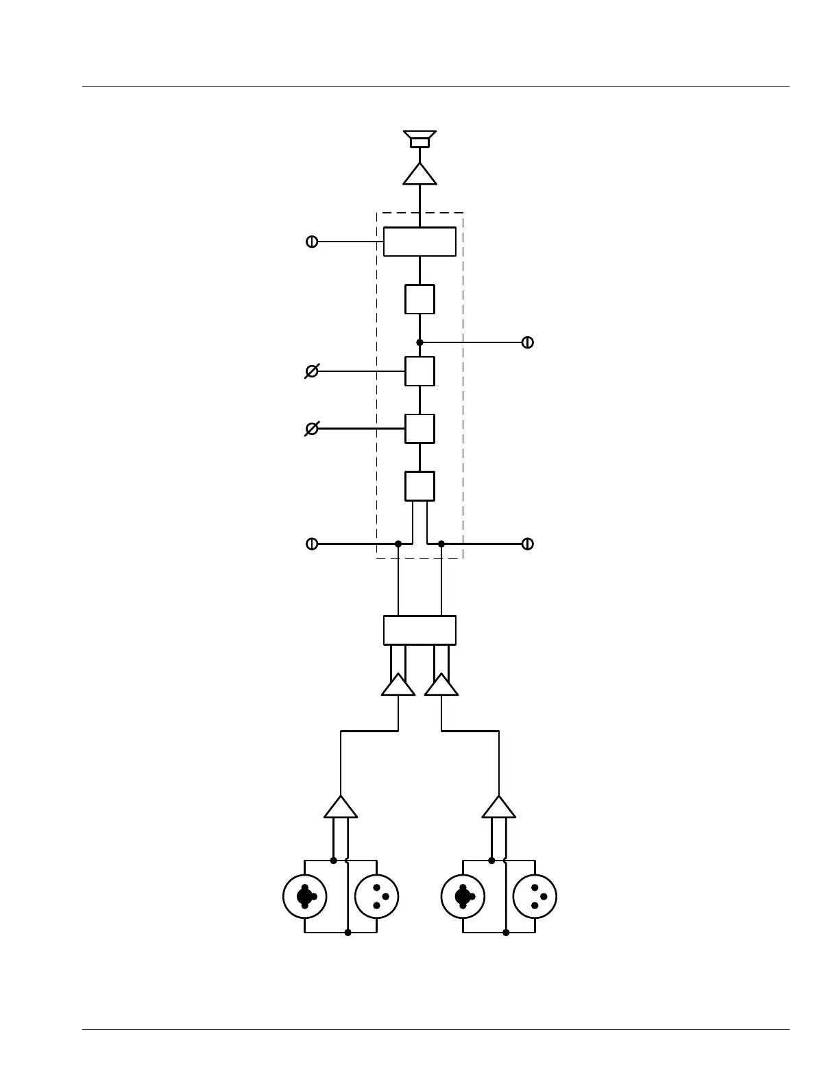
SRX818SP - BLOCK DIAGRAM

Related product manuals