EasyManua.ls Logo

high pointe EM925BSC - Pre-set Function; Multi-stage Cooking; Memory Function; Inquiring Function

high pointe EM925BSC
21 pages
Print Icon
To Next Page IconTo Next Page
To Next Page IconTo Next Page
To Previous Page IconTo Previous Page
To Previous Page IconTo Previous Page
Loading...

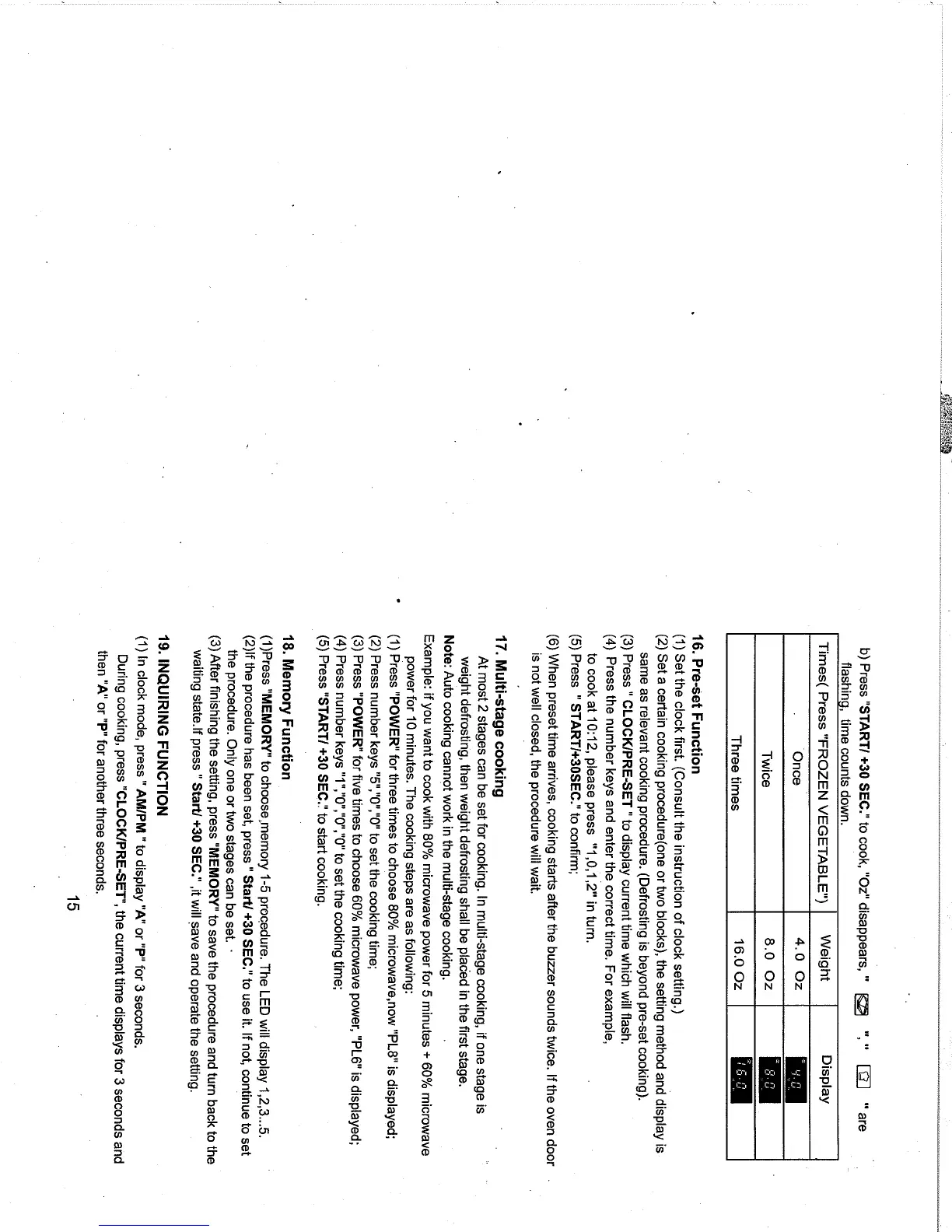
Related product manuals