EasyManua.ls Logo

Hisense 48H5 - Troubleshooting for Ypbpr Input

Hisense 48H5
40 pages
Print Icon
To Next Page IconTo Next Page
To Next Page IconTo Next Page
To Previous Page IconTo Previous Page
To Previous Page IconTo Previous Page
Loading...
- 32 -
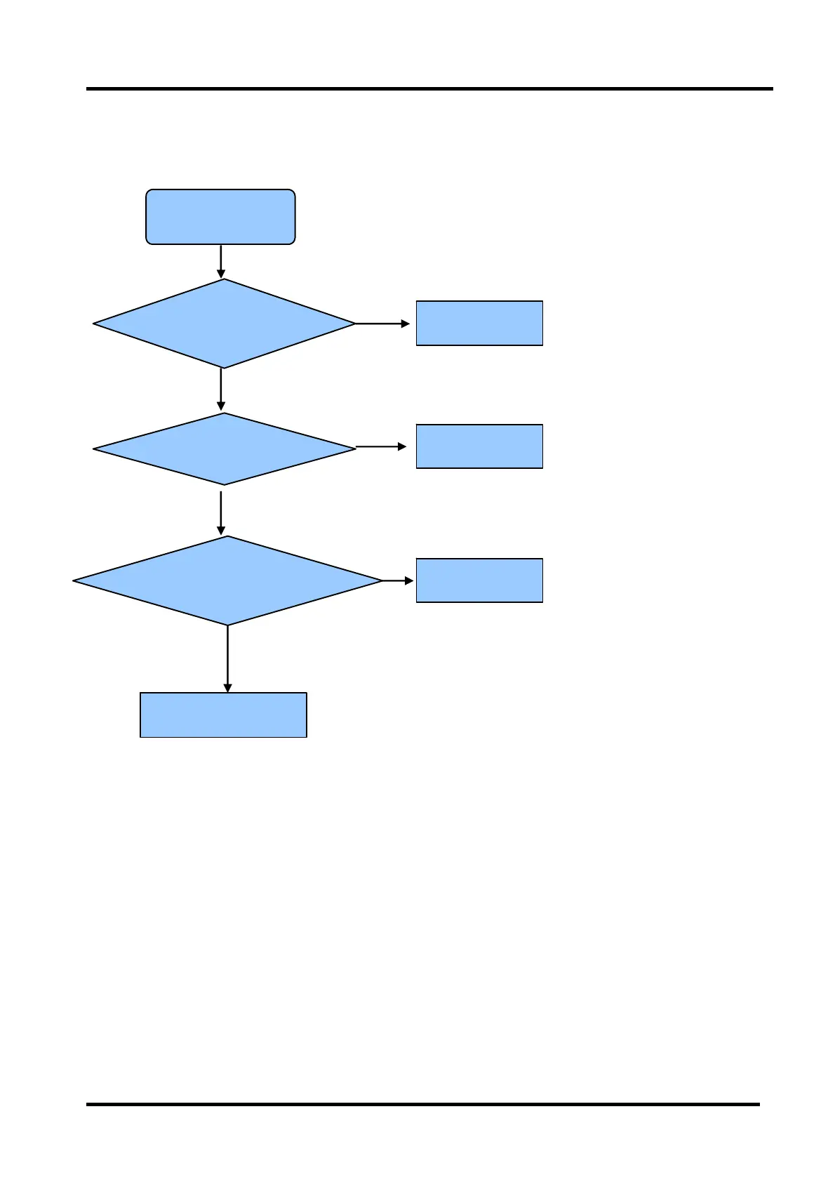
5.6 Troubleshooting for YPbPr input
No picture on the screen
Check Source work or not
Check connect
Check Wires (Green Blue, Red)
Replace main board
Check Source Device
Reconnect
Replace wires
NO
YES
YES
NO
YES
NO

Related product manuals