EasyManua.ls Logo

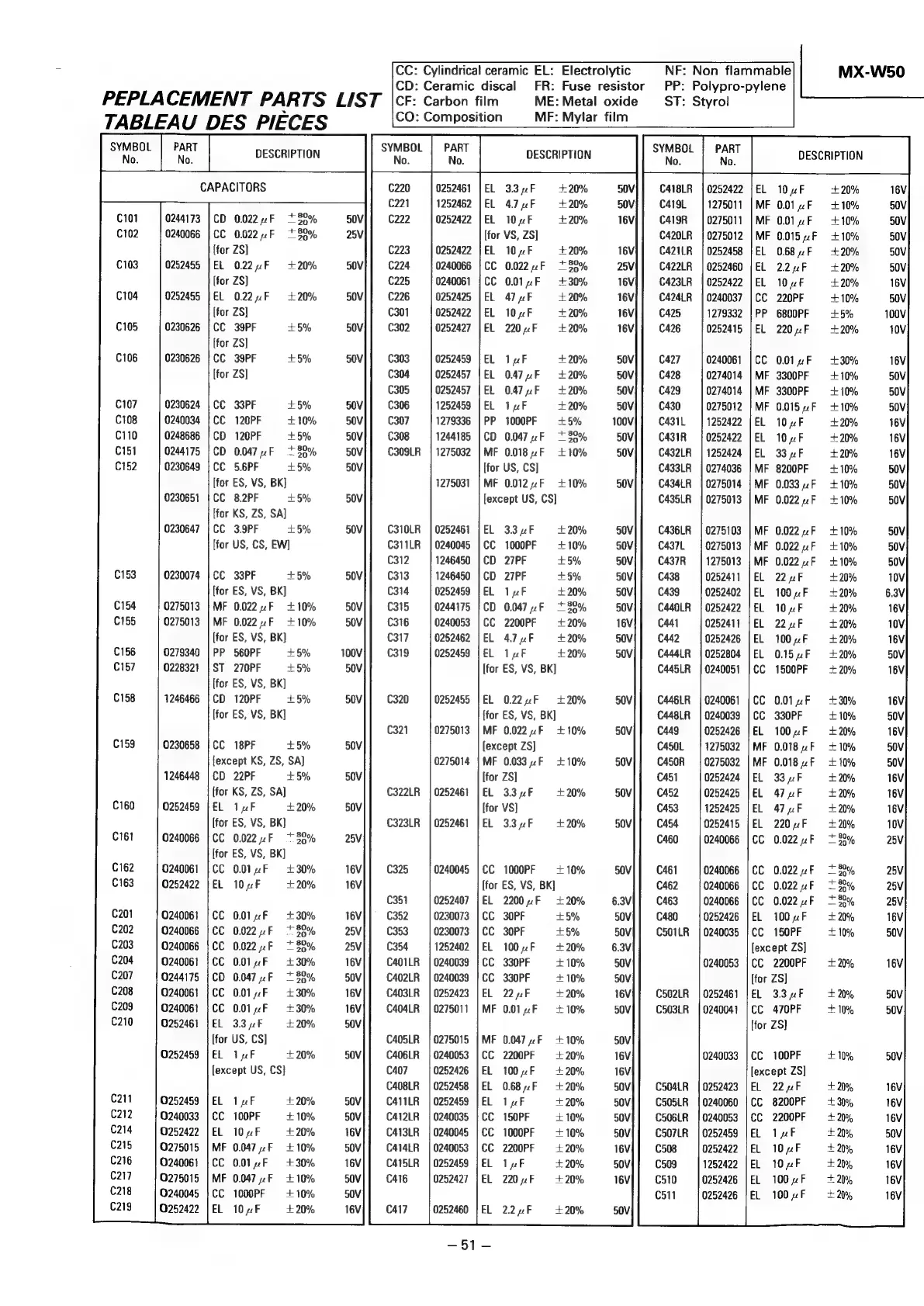
Hitachi MX-W50 - REPLACEMENT PARTS LIST; Capacitors; Resistors

Hitachi MX-W50
44 pages
Print Icon
To Next Page IconTo Next Page
To Next Page IconTo Next Page
To Previous Page IconTo Previous Page
To Previous Page IconTo Previous Page
Loading...

Related product manuals