EasyManua.ls Logo

Hollis Prism 2 - Weighting of the Hollis PRISM 2; Proper Batteries

Default Icon
126 pages
Print Icon
To Next Page IconTo Next Page
To Next Page IconTo Next Page
To Previous Page IconTo Previous Page
To Previous Page IconTo Previous Page
Loading...
| vi
WARNING:
WEIGHTING OF THE HOLLIS PRISM 2
Unlike open circuit scuba gear, it is possible for the Hollis PRISM 2 breathing loop to flood, causing
the rebreather to quickly become 17 pounds negatively buoyant (not including any user-added
weight or offsetting buoyancy inflation). It is the responsibility of the diver to insure that the Hollis
PRISM 2 is never weighted in such a way that it is not possible for the installed buoyancy device
to overcome the flooded weight of the unit plus any diver-added non-detachable weights, and still
provide enough positive buoyancy at the surface to keep the divers head well above water.
Consult your instructor, dealer, or call the Hollis factory directly with any questions or concerns.
Failure to maintain positive buoyancy at the surface with the Hollis PRISM 2 in a fully flooded state
can lead to serious injury or death.
WARNING:
PROPER BATTERIES
ONLY name-brand batteries (such as “Duracell” or “Eveready”) may be used to power the PRISM
2. Off-brand / Discount batteries have been found to vary greatly in quality of materials from batch
to batch (and even piece to piece!) Therefore they may not perform as expected, or be capable of
consistently delivering the power required to drive the components, despite battery voltage levels
reported by a battery voltage meter.
While off-brand / discount batteries are perfectly acceptable for use in toys and flashlights,
they have no place in life support gear and must never be used to power any component of
your PRISM 2.
Because of the potential rapid drop-off of charge from rechargeable batteries, rechargeable
batteries are not recommended for use with your PRISM 2 rebreather and must not be used.
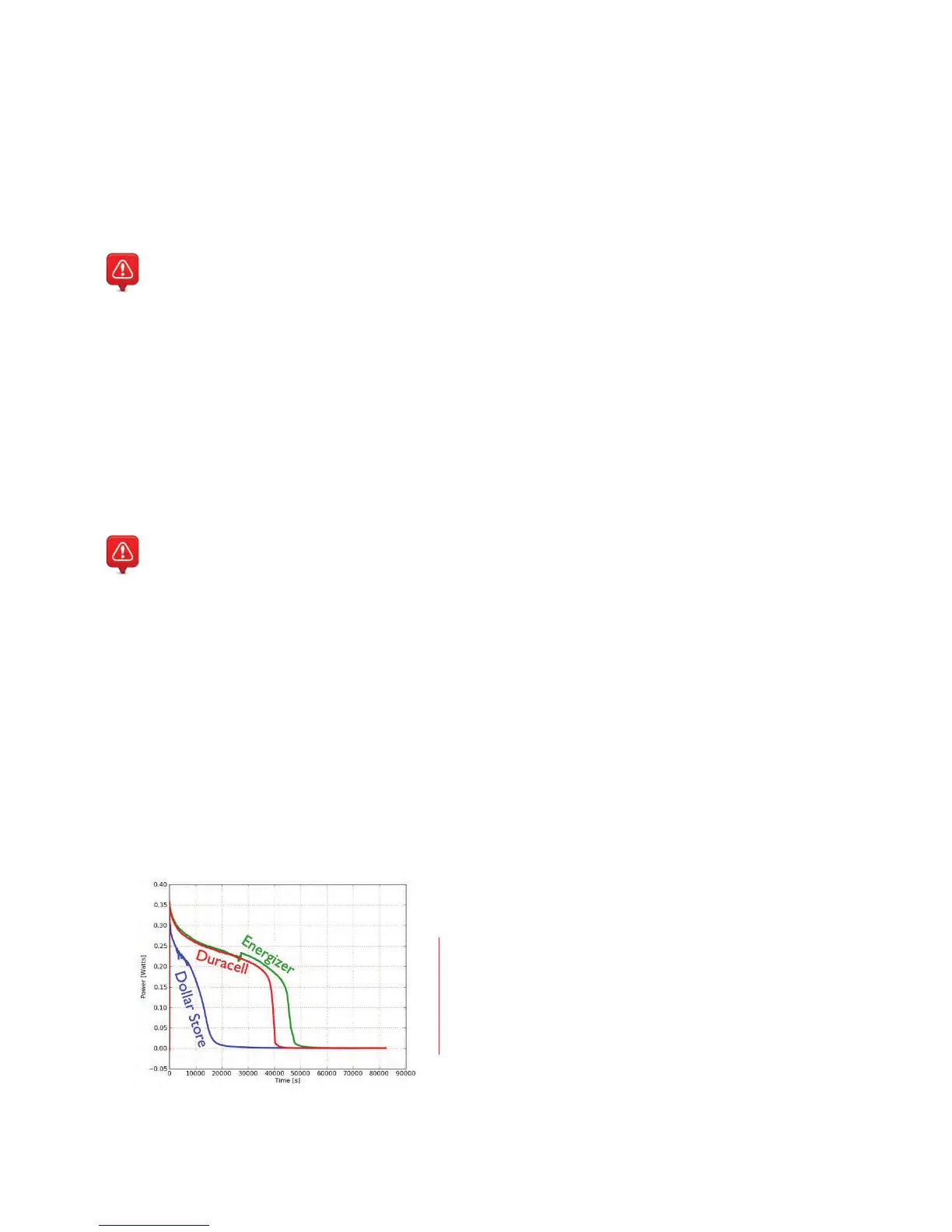
Diagram showing rapid discharge of non-branded batteries,
which in life support gear can result in unnecessary hazards.
The full article, “Are Expensive Batteries Worth The Extra
Cost?” is available at Wired.com
Image courtesy of Rhett Allain, Wired

Other manuals for Hollis Prism 2

Related product manuals