EasyManua.ls Logo

HP 9030 CE - Page 33

HP 9030 CE
95 pages
Print Icon
To Next Page IconTo Next Page
To Next Page IconTo Next Page
To Previous Page IconTo Previous Page
To Previous Page IconTo Previous Page
Loading...
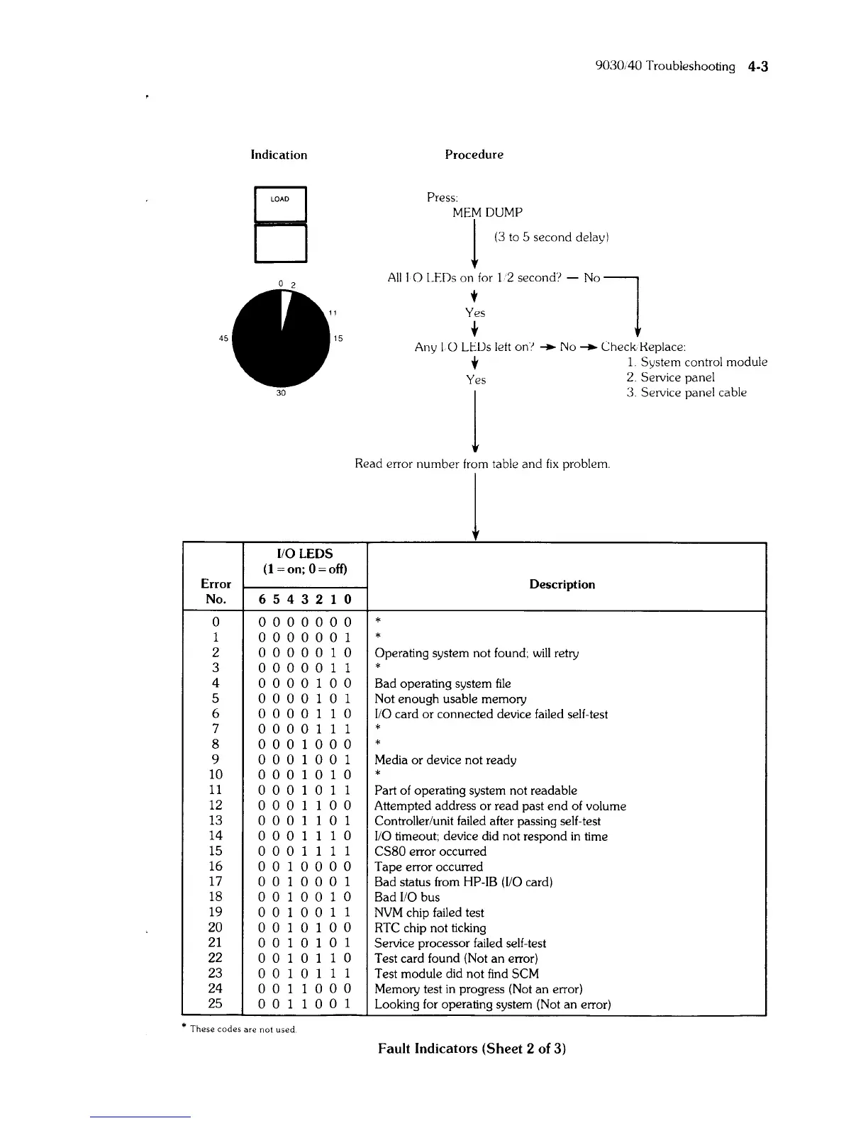
Indication
45
15
I/O LEOS
(l=on;
O=off)
Error
No.
6 5 4 3 2 1 0
0 o 0 0 0
000
1
o 0 0 0 0 0 1
2
0000010
3 o
000
0 1 1
4
o 0
001
0 0
5 o 0
001
0 1
6
o 0 0 0 1 1 0
7
o 0 0 0 1 1 1
8
000
100
0
9
000
100
1
10
000
1
010
11
000
1 0 1 1
12
0001100
13
000
1
101
14
000
1 1 1 0
15
000
1 1 1 1
16
o 0
100
0 0
17
o 0 1
000
1
18
o 0 1 0 0 1 0
19
0010011
20 o 0 1 0 1 0 0
21
o 0
101
0 1
22
0010110
23 o 0 1 0 1 1 1
24
001
1
000
25
001
100
1
*
These
codes
are
not
used
9030;40 Troubleshooting
4-3
Procedure
Press:
MT
"~~:
5 ,econd del,y)
All
I 0
LEDs
on,for
12
second'? -
N0l
Yes
t
Any I 0
LEOs
lett
on~
.....
No
-+-
Check Keplace:
,
1.
System control module
Yes
2.
Service panel
1
3.
Service panel cable
Read error number
from
table and
fix
problem.
1
Description
*
*
Operating system not found;
will
retry
*
Bad operating system
file
Not enough usable memory
[/0
card or connected device failed self-test
*
*
Media or device not ready
*
Part
of
operating system not readable
Attempted address or read past end of volume
Controller/unit failed after passing self-test
I/O
timeout; device did not respond
in
time
CS80 error occurred
Tape error occurred
Bad status from HP-[B
(I/O
card)
Bad
I/O
bus
NVM chip failed test
RTC
chip not ticking
Service processor failed self-test
Test card found (Not an error)
Test module did not find
SCM
Memory test
in
progress (Not an error)
Looking
for
operating system (Not an error)
Fault
Indicators
(Sheet
2
of
3)

Related product manuals