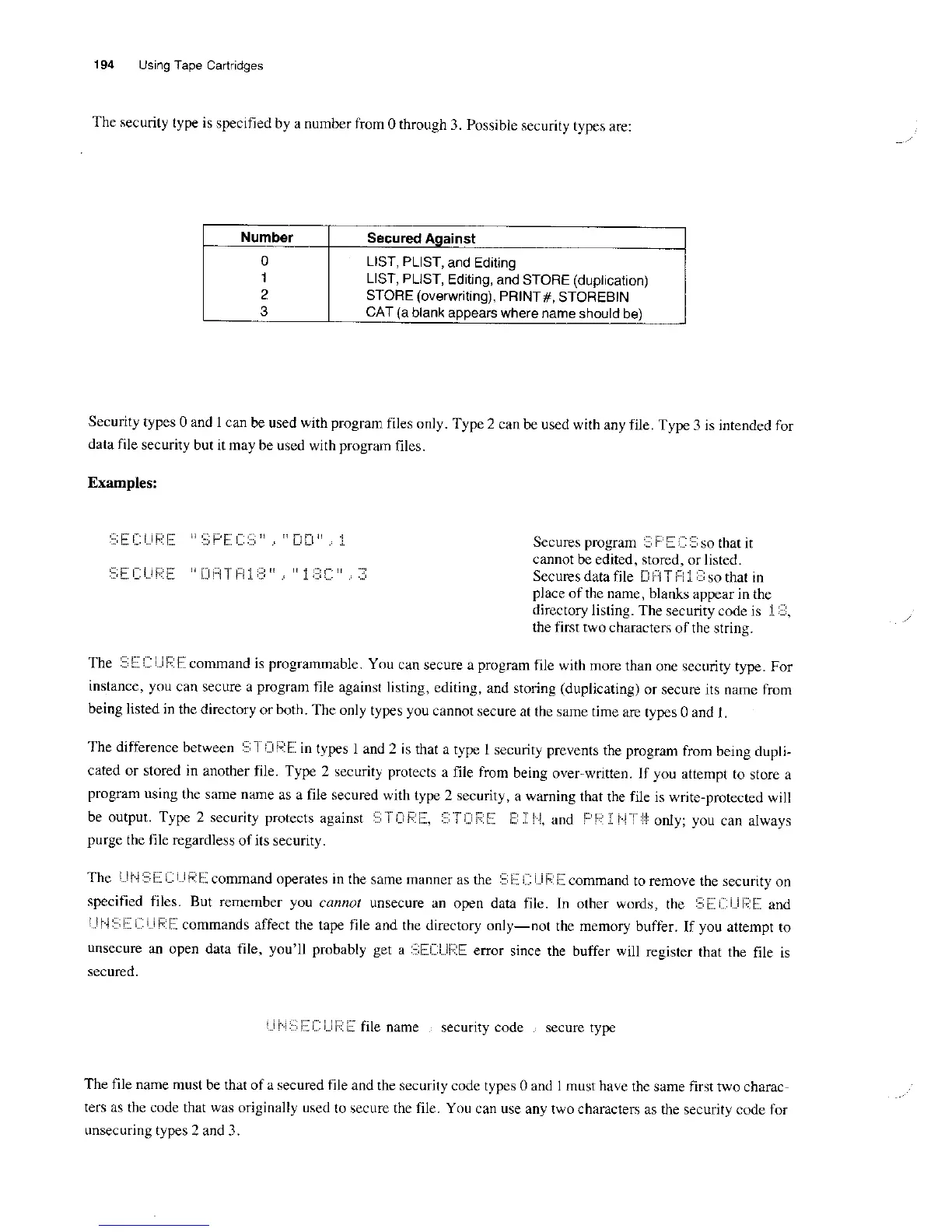
EasyManua.ls Logo

HP HP-85 - Page 193

HP HP-85
342 pages
To Next Page IconTo Next Page
To Next Page IconTo Next Page
To Previous Page IconTo Previous Page
To Previous Page IconTo Previous Page
Loading...

Related product manuals