EasyManua.ls Logo

HP Photosmart C5100 All-in-One Series - Warranty

HP Photosmart C5100 All-in-One Series
45 pages
Print Icon
To Next Page IconTo Next Page
To Next Page IconTo Next Page
To Previous Page IconTo Previous Page
To Previous Page IconTo Previous Page
Loading...
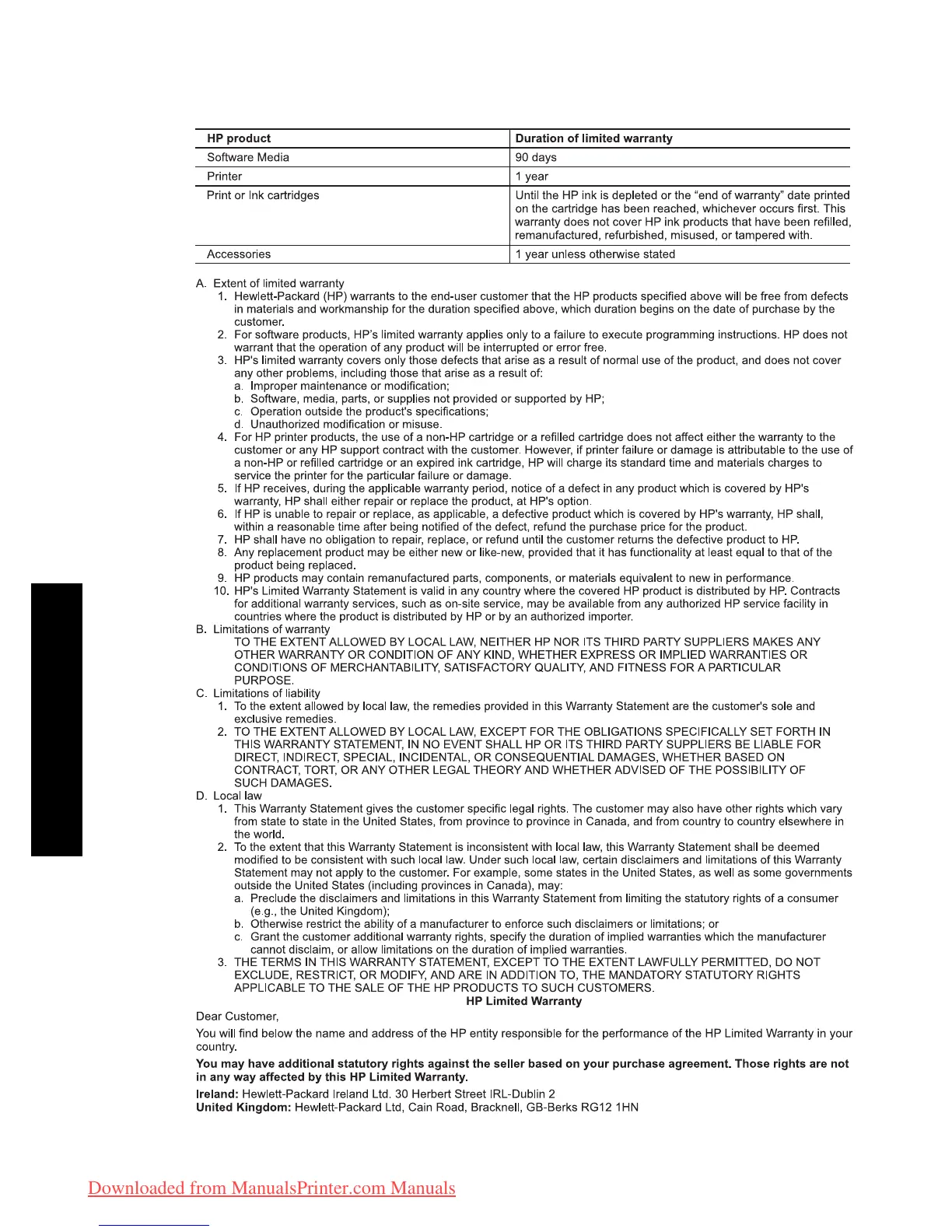
Warranty
Chapter 3
38 HP Photosmart C5100 All-in-One series
Technical information
Downloaded from ManualsPrinter.com Manuals

Related product manuals