EasyManua.ls Logo

Ikegami CMF-1580 - Page 96

Ikegami CMF-1580
105 pages
Print Icon
To Next Page IconTo Next Page
To Next Page IconTo Next Page
To Previous Page IconTo Previous Page
To Previous Page IconTo Previous Page
Loading...
Esp-13
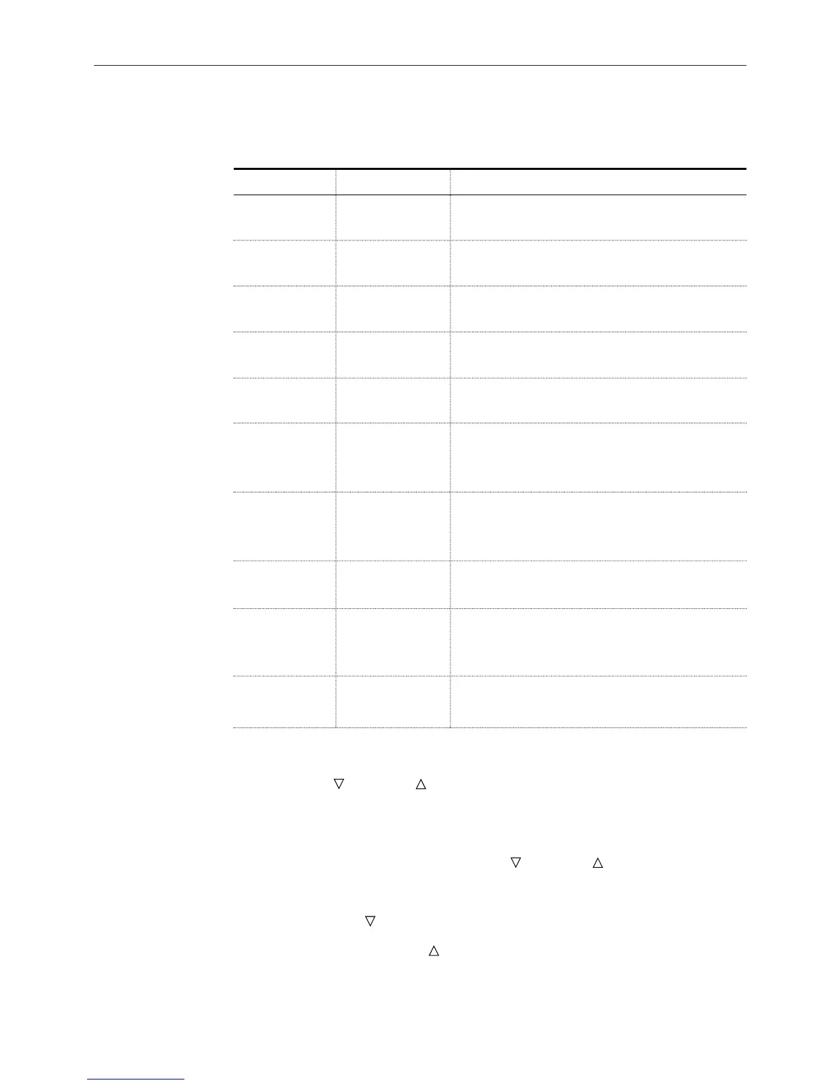
Gama de ajustes de cada botón
Explicación
Selecciona un contraste específico dentro de la
gama de valores.
Selecciona un brillo específico dentro de la
gama de valores.
Selecciona una nitidez específica dentro de la
gama de valores.
Selecciona un color específico dentro de la
gama de valores.
Selecciona un matiz específico dentro de la
gama de valores
Intervalo de cambio de canal de entrada para
modo Auto
En el modo AUTO, todos los canales que no
tengan señal de entrada se saltarán
automáticamente (ON) o aparecerán y no se
saltarán (OFF).
Muestra el menú OSD (ON)
No muestra el menú OSD (ON)
English, Français, Español, Português, Italiano,
Deutsch
Predefine todos los menús con los ajustes de
fábrica.
Gama de ajustes
0~100
0~100
0~100
0~100
Red (Rojo) 0~100
Green (Verde)
0~100
2 ~ 10 seconds
(segundos)
ON / OFF
ON / OFF
6
MENÚ
Contrast
(Contraste)
Brightness
(Brillo)
Sharpness
(Nitidez)
Color
Tint (Matiz)
(NTSC)
Auto Timer
(Tempor.
Automático)
Auto skip (Salto
automático)
Camera OSD
(Cámara OSD)
Idioma
(según modelo)
Preset
(Predefinido)
Ajustes y valores de las opciones de MENU:
Utilice el botón VOLUME para ajustar Contrast (Contraste), Brightness
(Brillo), Sharpness (Nitidez), Color, Tint (Matiz) y Auto Timer (Tempor.
Automático).
• Seleccione cada menú y pulse el botón VOLUME para ajustar.
• Aparecen los valores ajustados de la opción de menú seleccionada.
• Pulse el botón VOLUME para disminuir el valor de la opción de menú.
• Pulse el botón VOLUME para aumentar el valor de la opción de menú.

Table of Contents