EasyManua.ls Logo

JBL PROFLORA pH Control Touch - Page 178

JBL PROFLORA pH Control Touch
Print Icon
To Next Page IconTo Next Page
To Next Page IconTo Next Page
To Previous Page IconTo Previous Page
To Previous Page IconTo Previous Page
Loading...
174
Nastavení žádané hodnoty pH
Při prvním použitím přístroje doporučujeme nejdříve nastavit žádanou hodnotu pH a až
potom přepnout do režimu Auto-pH-Funktion:
Stlačte políčko „Einstellungen“, šipkami vyberte v menu „Auto pH“ a potvrďte „OK“. Dotykem
na šipky „plus“ nebo „minus“ nastavte hodnotu UT vakváriu a potvrďte „OK“. Tu musíte
nejdříve změřit příslušným testem, např. JBL KH Test Set.
Přístroj vypočítá automaticky optimální pH pro tuto UT. Jako základ kalkulace, se použije
optimální koncentrace CO 22,5 mg/l.

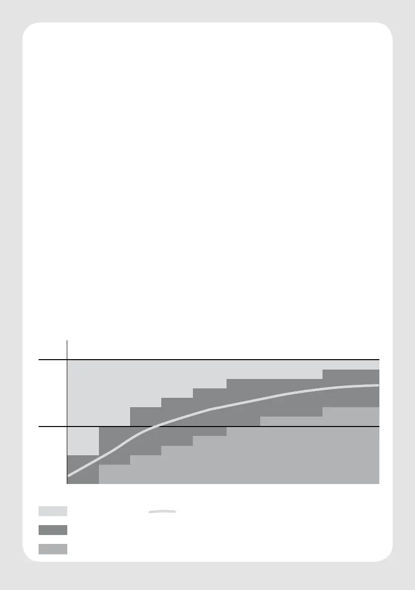
Regulace
Pokud je ventil nastaven na automatický režim (kap. 7.7), přístroj regulujeme následovně:
Skutečná hodnota pH je 7,80, žádaná 7,10. Symboly pro ventil jsou
„oen“ (otevřený) a „A“ (automatika). Přístroj nyní začne do akvária dodávat CO, dokud
nebude dosažena hodnota 7,00*. Potom přístroj přívod plynu vypne a ikona ventilu bude
vmodu „uzavřený“. Rostliny a atmosféra odebírají CO zvody a hodnota pH pomalu stoupá.
Až dosáhne pH 7,20*, ventil se opět otevře do doby až pH klesne na 7,00* atd..
* U předvolené hystereze 0,1 (Kap. 7.6).
Hodnota pH, koncentrace CO a uhličitanová tvrdost (UT)
Tyto tři parametry na sobě těsně závisejí. Kolik CO je třeba kdosažení určitého konkrétního
pH závisí na UT vody. Čím je UT vyšší, tím je plynu třeba více. Pokud známe hodnoty UT a pH,
můžeme koncentraci CO ve vodě vypočítat. Následující tabulka ukazuje závislosti všech tří
veličin a určuje bezpečná rozmezí hodnoty pH pro ryby.
Nikdy nenastavujte žádané hodnoty pH aniž byste znali hodnotu UT.
Obsah CO vzávislosti na hodnotě pH a UT
CO
2
(mg/l)
KH
pH
2 4 6 8 10 12 14 16 18 20
7,8 1 2 3 4 5 6 7 9 9 10
7,6 2 3 5 6 8 9 11 12 14 15
7,4 2 5 7 10 12 14 17 19 21 24
7,3 3 6 9 12 15 18 21 24 27 30
7,2 4 8 11 15 19 23 27 30 34 38
7,1 5 10 14 19 24 29 33 38 43 48
7 6 12 18 24 30 36 42 48 54 60
6,9 8 15 23 30 38 45 53 60 68 76
6,8 10 19 29 38 48 57 67 76 86 95
6,7 12 24 36 48 60 72 84 96 108 120
6,6 15 30 45 60 75 90 105 121 136 151
6,4 24 48 72 96 119 143 167 191 215 239
6,2 38 76 114 151 189 227 265 303 341 379
příliš málo CO
správná koncentrace CO
příliš mnoho CO
křivka pH (kap. 6.1)

Table of Contents

Related product manuals