EasyManua.ls Logo

JBL PROFLORA pH Control Touch - Page 198

JBL PROFLORA pH Control Touch
Print Icon
To Next Page IconTo Next Page
To Next Page IconTo Next Page
To Previous Page IconTo Previous Page
To Previous Page IconTo Previous Page
Loading...
194
Urządzenie oblicza optymalną wartość pH i zapisuje ją w pamięci komutera, jako wartość opty-
malną. Obliczenia te opierają się na założeniu, że optymalną ilością CO jest wartość 22,5 mg/l.

Regulacja
Gdy zawór elektromagnetyczny jest ustawiony na automatyczny tryb pracy (ustawienie fabryczne,
patrz rozdział 7.7), urządzenie będzie dokonywać następujących regulacji:
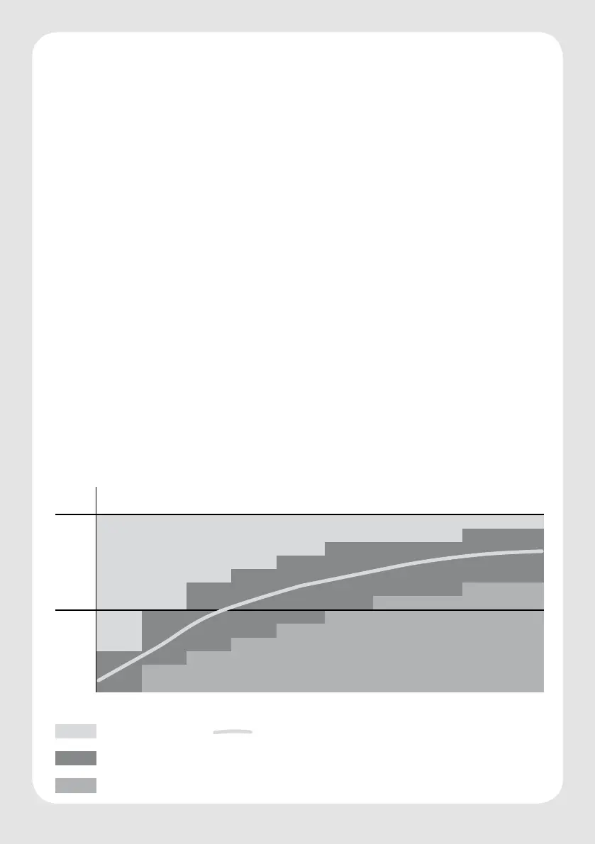
Aktualna wartość w akwarium: pH 7,80. Auto pH ustawiło 7,10, jako wartość zadaną. Symbol statusu
zaworu jest w pozycji „otwarty i znajduje się w trybie automatycznym (oznaczenie „A“). Teraz CO jest
tak długo dodawane, aż zostanie osiągnięta wartość pH 7,00*. Wówczas urządzenie wyłącza zawór
magnetyczny, wtedy symbol statusu zaworu wskazuje „zamknięte” oraz „A dla automatyki.
Poprzez zużycie przez rośliny i wyrównanie do atmosfery zmniejsza się zawartość CO
i wartość pH podnosi się powoli. Jeśli pH 7,20* zostanie osiągnięte otwiera się zawór
elektromagnetyczny i tym samym dopływ CO aż wartość pH spadnie do 7,00* i tak dalej.
*Przy wstępnie wybranej histerezie (punkt włączenia) wynoszącej 0,1 (ustawienia fabryczne patrz rozdział 7.6.).
Wartość pH, CO oraz twardość węglanowa (KH)
Trzy parametry: wartość pH, zawartość CO oraz twardość węglanowa, ze względu na
istniejącą między nimi zależność są ze sobą w bezpośrednio powiązane.
To, ile potrzeba CO, aby uzyskać określoną wartość pH zależy od KH w akwarium. Im
wyższe KH, tym więcej potrzeba CO. Gdy znane są wartości pH oraz KH, wówczas można
obliczyć zawartość CO. Poniższa tabela zaoszczędzi Państwu obliczeń i ukazuje te wartości
współczynnika pH, które mogą być przez Państwa nastawiane jako wartości zadane, gdyż nie
będą stanowić zagrożenia dla ryb.
Nigdy nie ustawiać zadanej wartości pH bez ustalenia przedtem wartości KH w
akwarium, np. za pomocą zestawu JBL KH Test-Set.
Zawartość CO w zależności od wartości pH i KH
CO
2
(mg/l)
KH
pH
2 4 6 8 10 12 14 16 18 20
7,8 1 2 3 4 5 6 7 9 9 10
7,6 2 3 5 6 8 9 11 12 14 15
7,4 2 5 7 10 12 14 17 19 21 24
7,3 3 6 9 12 15 18 21 24 27 30
7,2 4 8 11 15 19 23 27 30 34 38
7,1 5 10 14 19 24 29 33 38 43 48
7 6 12 18 24 30 36 42 48 54 60
6,9 8 15 23 30 38 45 53 60 68 76
6,8 10 19 29 38 48 57 67 76 86 95
6,7 12 24 36 48 60 72 84 96 108 120
6,6 15 30 45 60 75 90 105 121 136 151
6,4 24 48 72 96 119 143 167 191 215 239
6,2 38 76 114 151 189 227 265 303 341 379
Za mało CO
Odpowiednia ilość CO
Za dużo CO
Krzywa pH dla automatycznego ustawienia (patrz rozdział 6.1)

Table of Contents

Related product manuals