EasyManua.ls Logo

JBL PROFLORA pH Control Touch - Page 262

JBL PROFLORA pH Control Touch
Print Icon
To Next Page IconTo Next Page
To Next Page IconTo Next Page
To Previous Page IconTo Previous Page
To Previous Page IconTo Previous Page
Loading...
258
Optmum olarak kabul edlen 22,5 mg/l CO mktarı bu hesaplamaya temel oluşturur.

Düzenleme
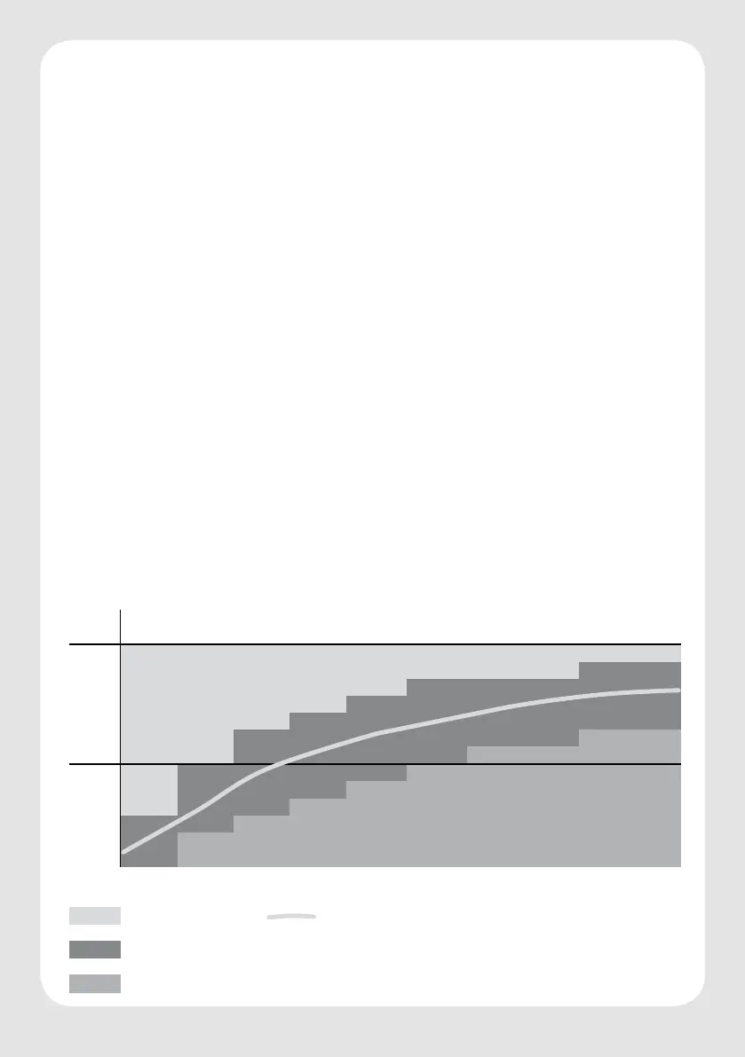
Valf otomatk şletmeye getrldğnde (fabrka ayarı, bkz. Böl. 7.7) chaz aşağıdak şeklde
düzenleme yapar:
Akvaryumdak anlık gerçek değer: pH 7,80. Otomatk pH nomnal değer 7,10 olarak
ayarlanmış. Valf durumunu gösteren smge open (açık) ve otomatk anlamına gelen A
konumundadır. Şmd artık pH değer 7.00* ‘ye ulaşana kadar CO verlecektr. Chaz daha
sonra solenod valf kapatır ve valf durumunu gösteren smge bu kez closed (kapalı) ve yne
otomatk çn A konumundadır.
Şmd CO mktarı btklern tüketmne ve atmosfer dengelemesne bağlı olarak azalırken
pH değer yavaşça yükselr. pH değer 7,20*’ye ulaştığında solenod valf yenden açılır ve pH
değer 7.00*’a nene dek tekrar CO beslenr, vs.
*Önceden belrlenmş 0,1’lk hsterezde (anahtarlama noktası) (fabrka ayarı, bkz. Böl.7.6)
pH-değer, CO ve karbonat sertlğ (KS)
pH değer, CO ve karbonat sertlğnden oluşan üç parametre karşılıklı br lşk söz konusu
olduğundan brbrlerne ayrılmaz şeklde bağlıdır.
Bell br pH değer elde etmek çn ne kadar CO kullanılacağı akvaryumdak KS’ye bağlıdır.
KS ne kadar yüksekse, o kadar fazla CO’ye htyaç duyulur. KS ve pH değerler blnyorsa, CO
mktarı hesaplanablr. Aşağıdak tablo sz hesap yapmaktan kurtaracak olup balıklarınız çn
tehlke oluşturmadan nomnal değer olarak belrleyeceğnz pH değerlern göstermektedr.
Hç br zaman akvaryumunuzdak KS’y önceden, örn. br JBL KH Test Set le,
belrlemeden nomnal pH değern rastgele ayarlamayın.
pH değer ve KS le lşkl CO mktarı
CO
2
(mg/l)
KH
pH
2 4 6 8 10 12 14 16 18 20
7,8 1 2 3 4 5 6 7 9 9 10
7,6 2 3 5 6 8 9 11 12 14 15
7,4 2 5 7 10 12 14 17 19 21 24
7,3 3 6 9 12 15 18 21 24 27 30
7,2 4 8 11 15 19 23 27 30 34 38
7,1 5 10 14 19 24 29 33 38 43 48
7 6 12 18 24 30 36 42 48 54 60
6,9 8 15 23 30 38 45 53 60 68 76
6,8 10 19 29 38 48 57 67 76 86 95
6,7 12 24 36 48 60 72 84 96 108 120
6,6 15 30 45 60 75 90 105 121 136 151
6,4 24 48 72 96 119 143 167 191 215 239
6,2 38 76 114 151 189 227 265 303 341 379
CO mktarı az
CO mktarı doğru
CO mktarı aşırı
otomatk pH eğrs (bkz. Böl. 6.1)

Table of Contents

Related product manuals