EasyManua.ls Logo

JBL PROFLORA pH Control Touch - Page 74

JBL PROFLORA pH Control Touch
Print Icon
To Next Page IconTo Next Page
To Next Page IconTo Next Page
To Previous Page IconTo Previous Page
To Previous Page IconTo Previous Page
Loading...
70
Het apparaat berekent nu de optimale pH waarde voor de gemeten KH en slaat deze als voorinstelwaarde
op. De berekening baseert op een CO gehalte van 22,5 mg/l dat als optimaal wordt beschouwd.

Regeling
Indien de klep op „automatisch bedrijf“ staat (dit is de instelling vanaf fabriek, zie hoofdstuk
7.7), regelt het apparaat nu als volgt:
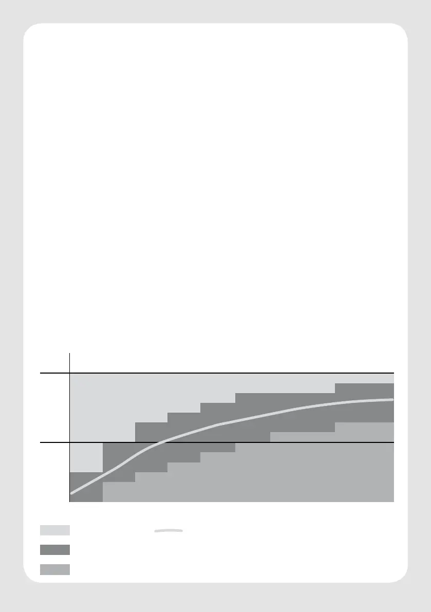
Momentele werkelijke waarde in het aquarium: pH 7,80. Auto pH heeft 7,10 als gewenste
waarde ingesteld. Het symbool voor de klepstatus staat op „open“ en „A“ voor automatisch. Er
wordt nu zo lang CO toegevoegd tot de pH waarde 7,00* bereikt is. Vervolgens schakelt het
apparaat de magneetklep uit, waarna het symbool voor de klepstatus gesloten en A” voor
automatisch vermeldt.
Als gevolg van het verbruik door de planten en het in evenwicht brengen met het luchtruim daalt
het CO gehalte en begint de pH waarde langzaam te stijgen. Zodra pH 7,20* is bereikt, gaat de
magneetklep weer open en wordt weer CO toegevoegd tot de pH weer tot 7,00* is gedaald, enz.
* Bij een vooringestelde hysteresis (schakelpunt) van 0,1 (instelling vanaf fabriek, zie hoofdstuk 7.6)
pH-Wert, CO en carbonaathardheid (KH)
De drie parameters pH-waarde, CO-gehalte en carbonaathardheid zijn onafscheidelijk met
elkaar verbonden, omdat ze onderling afhankelijk zijn van elkaar.
Hoeveel CO nodig is om een bepaalde pH te bereiken, hangt af van de KH in het aquarium.
Hoe hoger de KH, des te meer CO nodig is. Als de KH en pH bekend zijn, kan het CO gehalte
berekend worden. De tabel hieronder bespaart u veel rekenwerk en laat ook die pH waarden
zien die u zonder gevaar voor uw vissen als vooringestelde of wenswaarde kunt instellen.
Stel nooit zomaar een gewenste pH waarde in zonder eerst de KH in uw aquarium te
meten, bv. met een JBL KH Test-Set.
CO gehalte afhankelijk van pH en KH
CO
2
(mg/l)
KH
pH
2 4 6 8 10 12 14 16 18 20
7,8 1 2 3 4 5 6 7 9 9 10
7,6 2 3 5 6 8 9 11 12 14 15
7,4 2 5 7 10 12 14 17 19 21 24
7,3 3 6 9 12 15 18 21 24 27 30
7,2 4 8 11 15 19 23 27 30 34 38
7,1 5 10 14 19 24 29 33 38 43 48
7 6 12 18 24 30 36 42 48 54 60
6,9 8 15 23 30 38 45 53 60 68 76
6,8 10 19 29 38 48 57 67 76 86 95
6,7 12 24 36 48 60 72 84 96 108 120
6,6 15 30 45 60 75 90 105 121 136 151
6,4 24 48 72 96 119 143 167 191 215 239
6,2 38 76 114 151 189 227 265 303 341 379
Te weinig CO
CO juist
Te veel CO
Auto pH curve (zie hoofdstuk 6.1)

Table of Contents

Related product manuals