EasyManua.ls Logo

JBL ProFlora u501 - Page 153

JBL ProFlora u501
Print Icon
To Next Page IconTo Next Page
To Next Page IconTo Next Page
To Previous Page IconTo Previous Page
To Previous Page IconTo Previous Page
Loading...
151
TR
Manyetik vananın kontrol düğmesini “manüel açık” konumuna getirin:
Ayarlar > “Vana” seçimi > OK tuşuna bas > “manüel açıkkonumunu seçin > OK tuşuna basın.
u503’ün diğer işlemlerini, u501 sisteminde anlatılan şekilde ve m503 ile m2003’ün diğer
işlemlerini ise, m501 sisteminde anlatılan şekilde uygulamaya devam ederek tamamlayın.
Reaktörün ön çalışma süresini tamamlamasından sonra, manyetik vananın kontrol
düğmesini “otomatik” konumuna getirin:
Ayarlar > Vana” seçimi > OK tuşuna basın > otomatikkonumunu seçin > OK tuşuna basın.
Daha sonra, pH bilgisayarında akvaryumunuz için olması gereken pH değerini ve ayrıca,
öngörülen hava kabarcığı sayısını ayarlayın, ayarlama işlemini ayrı teslim edilen kullanma
talimatnamesine uygun şekilde yapın. Bu işlemlerin ardından, pH bilgisayarı, akvaryumunuz için
gerekli olan pH değerini ve CO
2
tedarik miktarını otomatik olarak ayarlayacak ve düzenleyecektir.
12 Ne kadar CO
2
gereklidir?
12.1 pH değeri, CO
2
miktarı ve karbonat sertliği (KH)
pH değeri, CO
2
mikta ve karbonat sertliği olmak üzere bu üç parametre, ayrılmaz bir şekilde
birbirlerine bağlıdırlar ve birbirleriyle karşılıklı ilişki içerisindedirler.
CO
2
su ile temas ettiğinde, bu tepkimeden belirli bir miktarda karbondioksit ortaya çıkar ve
oluşan bu karbondioksit suyun pH değerini düşürür. Büyük bir kısmı, çözünmüş şekilde gaz
olarak suda kalır ve suda kalan kısmı, bitkiler için önemli bir besin kaynağıdır. Dolayısıyla da,
CO
2
ayanda iki avantaj birden sağlar: Suyun genellikle yüksek olan pH değerliğini, balıklar
ve bitkiler için uygun bir seviyeye düşürülmesini sağlar ve aynı zamanda, bitkiler için temel
besin maddesi kaynağıdır. Bu sayede, akvaryum bitkilerinin sağlıklı ve güzel bir görünüme
kavuşmaları ve balıkların daha canlı olmaları sağlanır.
Belirli bir pH değerinin sağlanması in, ne kadar CO
2
’nin gerekli olduğu, akvaryumun KH
(karbonat sertliği) değerine bağlıdır. KH deri ne kadar yüksekse, o kadar CO
2
gerekli
olacaktır. KH ve pH değerleri biliniyorsa, gerekli olan CO
2
miktarı hesaplanabilir. Aşağıdaki
tablo yardımıyla, hesaplama işlemlerinden kurtulabilirsiniz, bu tablo, balıklarınızı tehlikeye
atmadan ayarlayabileceğiniz pH değerlerini gösterir.
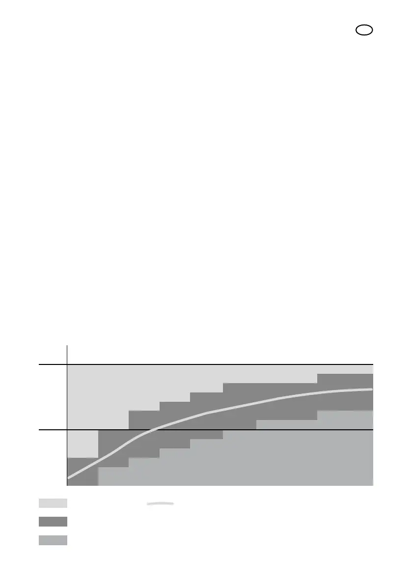
KH (karbonat sertliği) ve pH değerine bağlı olarak CO
2
ayarı
CO
2
çok fazla Otomatik pH eğrisi
CO
2
doğru
CO
2
çok az
CO
2
(mg/l)
KH
pH
2 4 6 8 10 12 14 16 18 20
7,8 1 2 3 4 5 6 7 9 9 10
7,6 2 3 5 6 8 9 11 12 14 15
7,4 2 5 7 10 12 14 17 19 21 24
7,3 3 6 9 12 15 18 21 24 27 30
7,2 4 8 11 15 19 23 27 30 34 38
7,1 5 10 14 19 24 29 33 38 43 48
7 6 12 18 24 30 36 42 48 54 60
6,9 8 15 23 30 38 45 53 60 68 76
6,8 10 19 29 38 48 57 67 76 86 95
6,7 12 24 36 48 60 72 84 96 108 120
6,6 15 30 45 60 75 90 105 121 136 151
6,4 24 48 72 96 119 143 167 191 215 239
6,2 38 76 114 151 189 227 265 303 341 379

Table of Contents

Related product manuals