EasyManua.ls Logo

JBL ProFlora u501 - Page 71

JBL ProFlora u501
Print Icon
To Next Page IconTo Next Page
To Next Page IconTo Next Page
To Previous Page IconTo Previous Page
To Previous Page IconTo Previous Page
Loading...
69
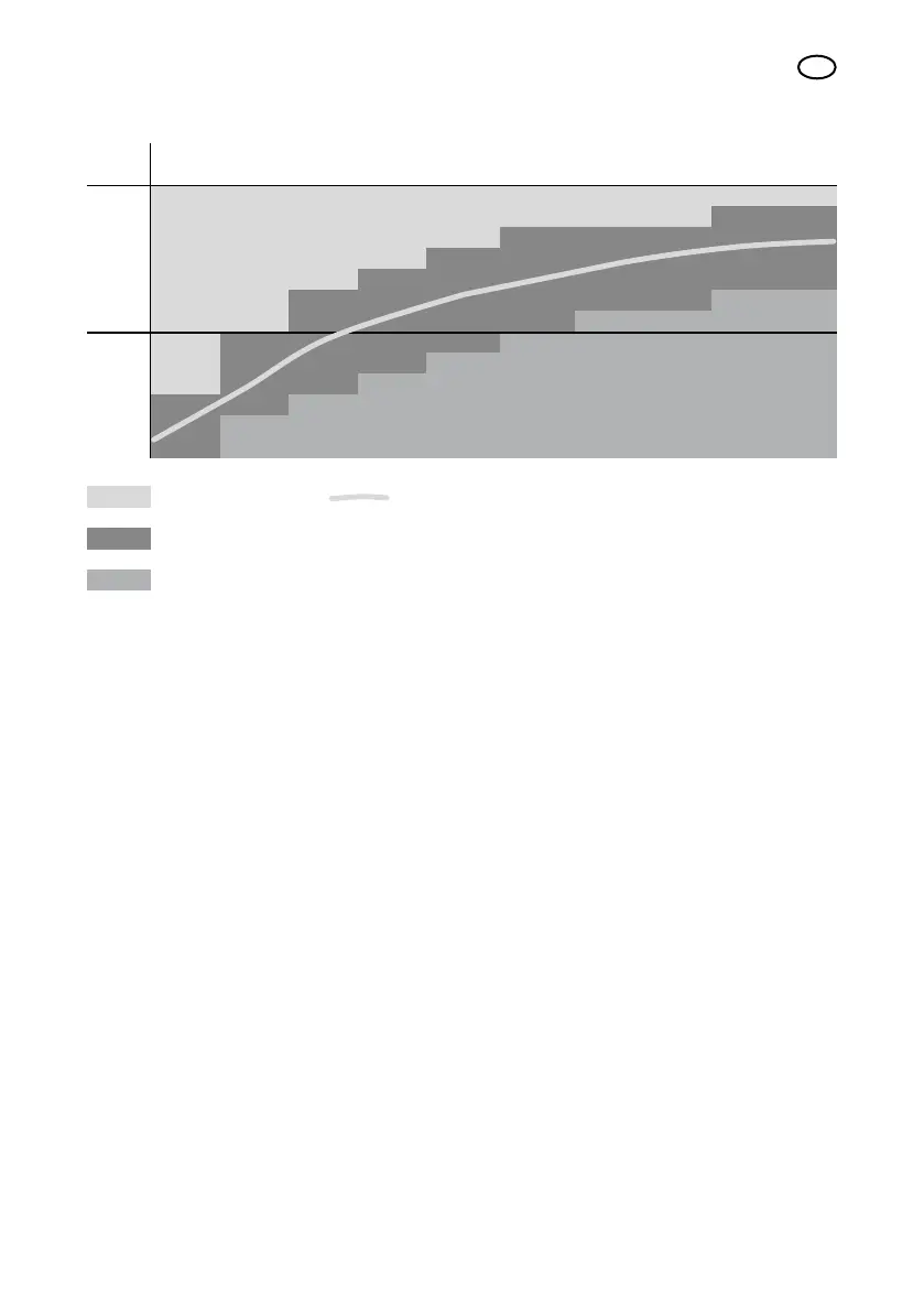
SE
CO
2
-haltens beroende av pH-värde och KH
För mycket CO
2
Auto pH-kurva
Rätt CO
2
-halt
För lite CO
2
Auto pH-kurvan visar värdena som pH-datorn håller automatiskt i systemen m503 och m2003
om funktionen ”auto pH” aktiverats. Vi rekommenderar att aktivera denna funktion för dina s-
kars säkerhets skull.
12.2 Rätt mängd CO
2
och rätt pH-värde
JBL rekommenderar en CO
2
-halt i akvarievattnet på 15 till 35 mg/l. Detta område har markerats
i tabellen med "Rätt CO
2
-halt“. Det har visat sig vara idealiskt med 20–25 mg CO
2
per liter.
Detta värde är ofarligt för skarna och sörjer samtidigt för praktfull växtlighet. För aquascaping
rekommenderar vi värden upp till 35 mg/l.
Mät KH i ditt akvarievatten med JBL KH Test-Set.
Sök i tabellen upp det pH-värde som passar till KH och den önskade CO
2
-halten inom
området ”Rätt CO
2
-halt.
Justera antalet CO
2
-bubblor tills pH-värdet så småningom uppnåtts.
Det är absolut viktigt att endast välja dana pH-värden som är ofarliga för skarna. Dessa
ofarliga värden är markerade i tabellen med ”Rätt CO
2
-halt.
12.3 Ställ in rätt CO
2
-mängd
CO
2
-mängden som måste tillföras för att få det önskade pH-värdet beror på olika faktorer, så-
som vattenrörelse, hur mycket växterna förbrukar etc., och måste bestämmas individuellt för
varje akvarium.
Börja med ca 15 bubblor i minuten i JBL Taifun per 100 l akvarievatten. Det motsvarar
ungefär 10 bubblor i minuten i bubbleräknaren.
Kontrollera efter ett dygn om pH-värdet i akvariet är det önskade.
Om inte, öka CO
2
-tillförseln till ca 20–25 bubblor i JBL Taifun (ca 14–16 i bubbleräknaren).
Om så behövs öka tillförseln i ytterligare små steg tills pH-värdet är det önskade.
Kontrollera med JBL CO
2-
permanenttest att pH-värdet är stabilt och därmed att CO
2
-hal-
ten är riktig.
CO
2
(mg/l)
KH
pH
2 4 6 8 10 12 14 16 18 20
7,8 1 2 3 4 5 6 7 9 9 10
7,6 2 3 5 6 8 9 11 12 14 15
7,4 2 5 7 10 12 14 17 19 21 24
7,3 3 6 9 12 15 18 21 24 27 30
7,2 4 8 11 15 19 23 27 30 34 38
7,1 5 10 14 19 24 29 33 38 43 48
7 6 12 18 24 30 36 42 48 54 60
6,9 8 15 23 30 38 45 53 60 68 76
6,8 10 19 29 38 48 57 67 76 86 95
6,7 12 24 36 48 60 72 84 96 108 120
6,6 15 30 45 60 75 90 105 121 136 151
6,4 24 48 72 96 119 143 167 191 215 239
6,2 38 76 114 151 189 227 265 303 341 379

Table of Contents

Related product manuals