EasyManua.ls Logo

JBL ProFlora u501 - Page 82

JBL ProFlora u501
Print Icon
To Next Page IconTo Next Page
To Next Page IconTo Next Page
To Previous Page IconTo Previous Page
To Previous Page IconTo Previous Page
Loading...
80
ES
equipos m503 / m2003 según lo descrito para el m501.
Una vez transcurrido el tiempo de rodaje del reactor, ponga el control de la válvula
electromagnética en la posición «auto» [= automática]:
Conguracn > seleccione «válvula» > pulse OK > seleccione «auto» > pulse OK.
A continuación, ajuste en el controlador de pH el valor del pH especicado necesario para
su acuario y el correspondiente número necesario de burbujas según lo descrito en las
instrucciones de uso adjuntas por separado. El controlador de pH regula automáticamente
a partir de ahora el valor del pH y el suministro de CO
2
para su acuario.
12 ¿Cuánto CO
2
se necesita?
12.1 Valores de pH, de CO
2
y de dureza de carbonatos (KH)
Los tres parámetros del valor del pH, de la concentración de CO
2
y de la dureza de carbonatos
están inseparablemente unidos entre sí, ya que existe una interdependencia mutua.
Cuando el CO
2
entra en contacto con el agua, se produce un cierto porcentaje de ácido
carbónico que reduce el valor del pH. La mayor parte del gas permanece en el agua y sirve
de nutriente importante para las plantas. Así, el CO
2
tiene dos ventajas a la vez: reduce en el
acuario los valores de pH, generalmente demasiado altos, a un nivel saludable para peces y
plantas y, al mismo tiempo, proporciona a las plantas su nutriente principal. De este modo se
garantiza el tener un acuario con plantas vigorosas y bonitas, y unos peces llenos de vida.
La cantidad de CO
2
requerida para mantener un valor del pH determinado depende de la dureza
de carbonatos en el acuario. Cuanto más elevada sea la dureza de carbonatos, más CO
2
se
requiere. Partiendo de los valores de la dureza de carbonatos y del pH se puede calcular la
concentración de CO
2
. La siguiente tabla le ahorra el cálculo y le muestra también los valores
de pH que usted puede mantener sin peligro para sus peces.
Concentración de CO
2
en función del valor del pH y de la dureza de carbonatos
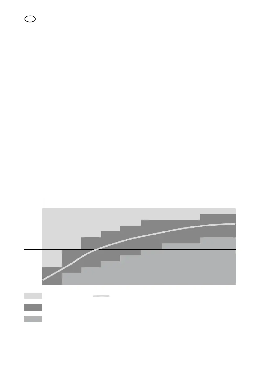
demasiado CO
2
curva automática del pH
CO
2
correcto
muy poco CO
2
La curva automática del pH muestra los valores que el controlador de pH mantiene
automáticamente en los equipos m503 y m2003 una vez activada la función «auto pH» [= pH
automático]. Para la seguridad de sus peces, recomendamos activar esta función.
CO
2
(mg/l)
KH
pH
2 4 6 8 10 12 14 16 18 20
7,8 1 2 3 4 5 6 7 9 9 10
7,6 2 3 5 6 8 9 11 12 14 15
7,4 2 5 7 10 12 14 17 19 21 24
7,3 3 6 9 12 15 18 21 24 27 30
7,2 4 8 11 15 19 23 27 30 34 38
7,1 5 10 14 19 24 29 33 38 43 48
7 6 12 18 24 30 36 42 48 54 60
6,9 8 15 23 30 38 45 53 60 68 76
6,8 10 19 29 38 48 57 67 76 86 95
6,7 12 24 36 48 60 72 84 96 108 120
6,6 15 30 45 60 75 90 105 121 136 151
6,4 24 48 72 96 119 143 167 191 215 239
6,2 38 76 114 151 189 227 265 303 341 379

Table of Contents

Related product manuals