EasyManua.ls Logo

JBL ProFlora u501 - Page 94

JBL ProFlora u501
Print Icon
To Next Page IconTo Next Page
To Next Page IconTo Next Page
To Previous Page IconTo Previous Page
To Previous Page IconTo Previous Page
Loading...
92
PT
Tecla de menu > seleccionar "Ventil" (válvula) > premir "OK" > seleccionar "man offen“
(man. aberta) com as teclas de seleão > premir "OK".
Em se tratando do sistema u503, prosseguir de acordo com as instruções para o sistema
u501 e, no caso dos sistemas m503 / m2003, conforme descrito para o sistema m501.
Após a fase inicial de operação do reactor, ajustar a válvula solenóide em "auto":
Tecla de menu > seleccionar "Ventil" (válvula) > premir "OK" > seleccionar "auto“ com as
teclas de selecção > premir "OK".
Em seguida deve-se ajustar no computador o pH desejado para o aquário, assim como o
número de bolhas necessário para o efeito, seguindo as instruções de serviço fornecidas
juntamente com os equipamentos. O computador irá agora regular automaticamente o pH
e o abastecimento de CO
2
para seu aquário.
12 Qual é a quantidade necessária de CO
2
?
12.1 pH, CO
2
e dureza carbonatada (KH)
Existe uma inter-relação muito estreita entre o pH, o teor de CO
2
e a dureza carbonatada (KH),
pois estes parâmetros condicionam-se mutuamente.
Quando o CO
2
entra em contacto com a água, uma certa parte se transforma em ácido carbóni-
co que reduz o pH. A maior parte, no entanto, permanece dissolvida na água como gás e serve
como importante nutriente para as plantas. Desta forma, o CO
2
apresenta duas vantagens ao
mesmo tempo: reduz o pH que geralmente é alto demais em aquários para um nível tole-
rável para as plantas e os peixes e ao mesmo tempo abastece as plantas com seu nutriente
principal, garantindo, assim, o vigoroso crescimento das plantas e a perfeita saúde dos peixes.
A quantidade de CO
2
necessária para manter um determinado pH depende da dureza carbona-
tada (KH) no aquário. Quanto mais alta a KH, mais CO
2
será necessário. Se a KH e o pH forem
conhecidos, pode-se calcular o teor de CO
2
. A tabela a seguir poupa-lhe o esforço de fazer o
lculo e mostra também os valores de pH que podem ser ajustados sem causar perigo para
seus peixes.
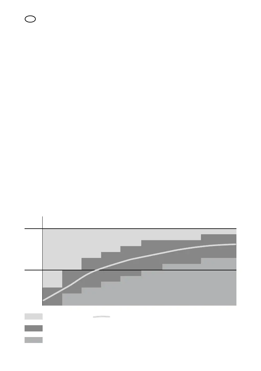
Teor de CO
2
em função do pH e da dureza carbonatada (KH)
Excesso de CO
2
Curva auto pH
CO
2
correcto
Falta de CO
2
CO
2
(mg/l)
KH
pH
2 4 6 8 10 12 14 16 18 20
7,8 1 2 3 4 5 6 7 9 9 10
7,6 2 3 5 6 8 9 11 12 14 15
7,4 2 5 7 10 12 14 17 19 21 24
7,3 3 6 9 12 15 18 21 24 27 30
7,2 4 8 11 15 19 23 27 30 34 38
7,1 5 10 14 19 24 29 33 38 43 48
7 6 12 18 24 30 36 42 48 54 60
6,9 8 15 23 30 38 45 53 60 68 76
6,8 10 19 29 38 48 57 67 76 86 95
6,7 12 24 36 48 60 72 84 96 108 120
6,6 15 30 45 60 75 90 105 121 136 151
6,4 24 48 72 96 119 143 167 191 215 239
6,2 38 76 114 151 189 227 265 303 341 379

Table of Contents

Related product manuals