EasyManua.ls Logo

Keithley 237 - Page 237

Keithley 237
314 pages
Print Icon
To Next Page IconTo Next Page
To Next Page IconTo Next Page
To Previous Page IconTo Previous Page
To Previous Page IconTo Previous Page
Loading...
+
SECTION3
IEEE-488
Reference
L-
Compliance/Measurement
Range
~~~l
V
M
P
L,
02
F1,
0
00
P
OSOW1
ZO
<TERM+
EOI>
F-
Somce
and
.,
....
..,
I
1
1
r
~
t L
z-
&pp<eSSion
0-
Output
Sense
W-
Default
Delay
P-Filter
B.
Voltage
Measurement Parameters
(see Figure 28A for parameter descriptions)
S
-
Integration
Time
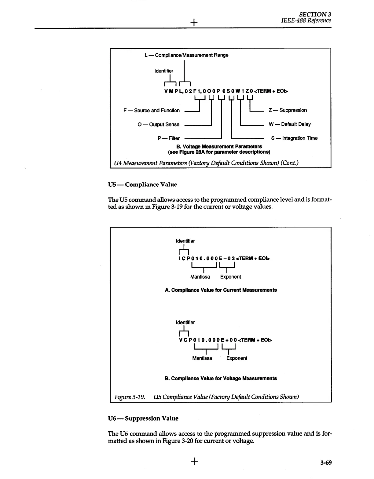
U4
Measurement
Parameters
(Factory
Default
Conditions
Shown)
(Cont.)
US-
Compliance Value
The
US
command allows access to the programmed compliance level
and
is format-
ted
as
shown
in
Figure 3-19 for the current
or
voltage values.
Identifier
~
I
CPO
10.00
0
E-0
3 <TERM+
EOI>
I
ly
Mantissa
Exponent
A.
Compliance Value
for
Current Measurements
Identifier
~
V
C
P 0
1
0.
0 0 0
E
+
0 0
<TERM+
EOI>
I
ly
Mantissa
Exponent
B.
Compliance Value
for
Voltage
Measurements
Figure
3-19.
U5
Compliance
Value
(Factory
Default
Conditions
Shown)
U6-
Suppression
Value
The
U6
command allows access to the
programmed
suppression value
and
is for-
matted as
shown
in
Figure
3-20
for current
or
voltage.
+
3-69

Other manuals for Keithley 237

Related product manuals