EasyManua.ls Logo

Kidde Fire Systems Natura

Default Icon
32 pages
To Next Page IconTo Next Page
To Next Page IconTo Next Page
To Previous Page IconTo Previous Page
To Previous Page IconTo Previous Page
Loading...
General Information
June 2020 1-12 P/N 06-237620-001
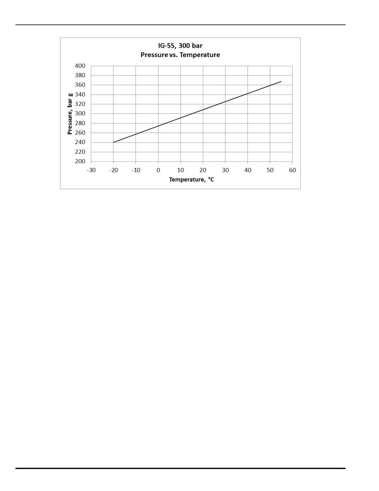
Figure 1-12. IG-55 Pressure/Temperature Curve Isometric Diagram for 300 bar, SI Units

Related product manuals