EasyManua.ls Logo

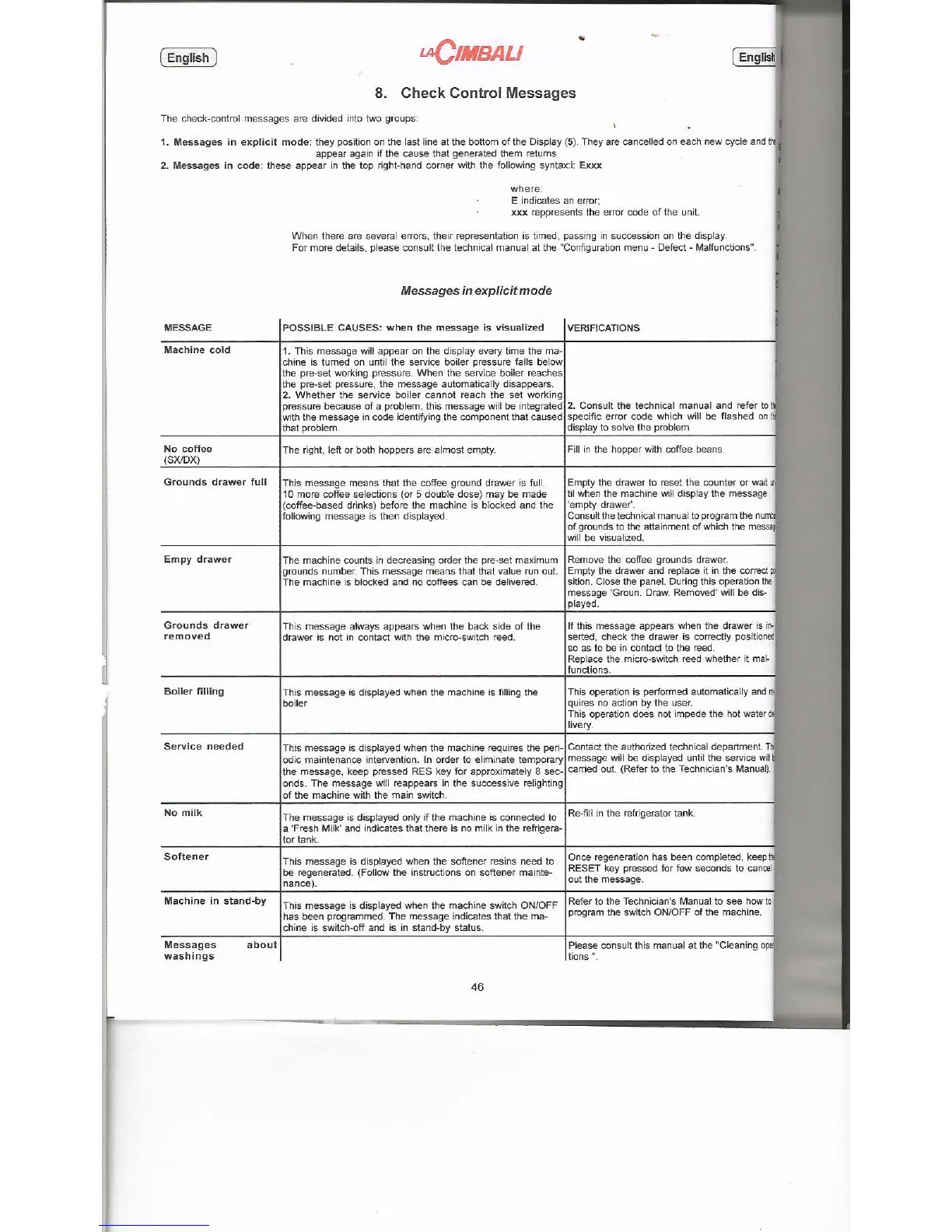
La Cimbali M2 Barsystem - System Status and Error Messages; Explicit Mode Messages; Code Mode Error Messages

La Cimbali M2 Barsystem
15 pages
Print Icon
To Next Page IconTo Next Page
To Next Page IconTo Next Page
To Previous Page IconTo Previous Page
To Previous Page IconTo Previous Page
Loading...

Related product manuals