EasyManua.ls Logo

Lennox Enlight LGT Series - Page 39

Lennox Enlight LGT Series
106 pages
To Next Page IconTo Next Page
To Next Page IconTo Next Page
To Previous Page IconTo Previous Page
To Previous Page IconTo Previous Page
Loading...

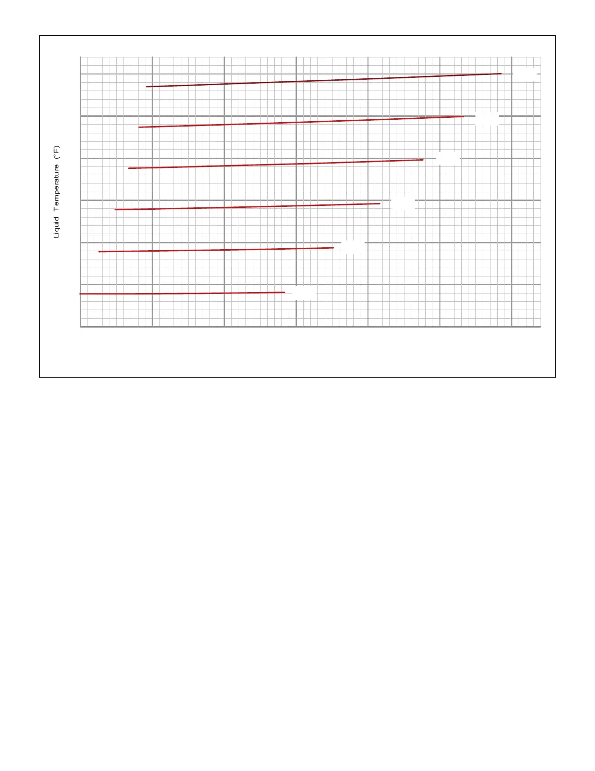
156 CHARGING CURVE CIRCUIT 2 - NO REHEAT - ALL-ALUMINUM COIL - 581082-01
Suction Pressure (psig)
70
80
90
100
110
120
Outdoor Temperature (°F)
105°
95°
115°
85°
75°
65°
60
110120 130140 150160 170

Related product manuals