EasyManua.ls Logo

Lennox Enlight LGT Series - Page 41

Lennox Enlight LGT Series
106 pages
To Next Page IconTo Next Page
To Next Page IconTo Next Page
To Previous Page IconTo Previous Page
To Previous Page IconTo Previous Page
Loading...

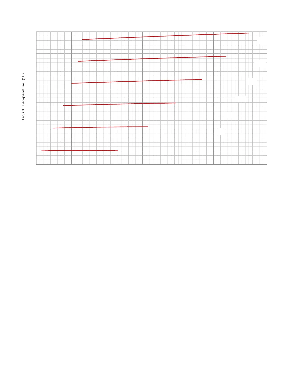
156 CHARGING CURVE CIRCUIT 2 - REHEAT - ALL-ALUMINUM COIL - 581084-01
Suction Pressure (psig)
70
80
90
100
110
120
Outdoor Temperature (°F)
105°
95°
115°
85°
75°
65°
60
110 120130 140 150 16
01
70

Related product manuals