EasyManua.ls Logo

Lennox Enlight LGT300S4M

Lennox Enlight LGT300S4M
106 pages
To Next Page IconTo Next Page
To Next Page IconTo Next Page
To Previous Page IconTo Previous Page
To Previous Page IconTo Previous Page
Loading...

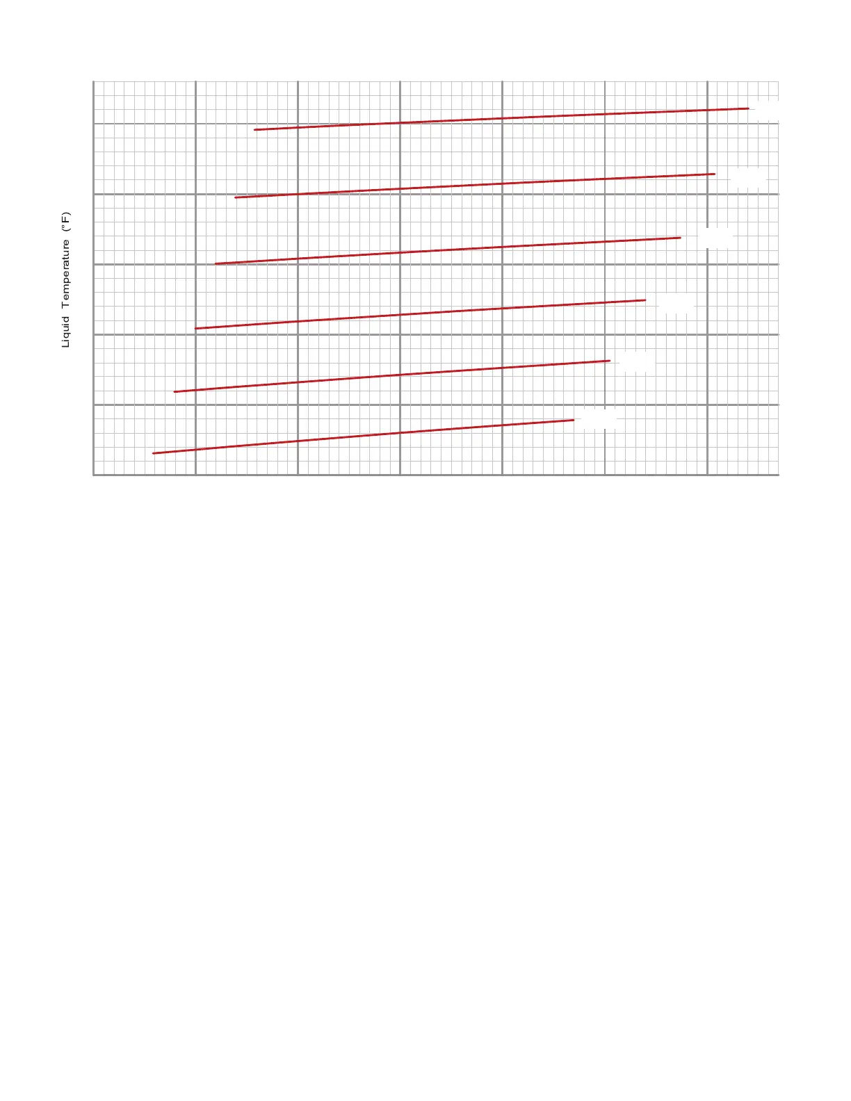
210 CHARGING CURVE CIRCUIT 4 - NO REHEAT - ALL-ALUMINUM COIL - 581090-01
Suction Pressure (psig)
Outdoor Temperature (°F)
105°
95°
115°
85°
75°
65°
70
80
90
100
110
120
110 120130 140150 160100

Related product manuals