EasyManua.ls Logo

Lennox Enlight LGT300S4M - Start up - Operation

Lennox Enlight LGT300S4M
106 pages
Print Icon
To Next Page IconTo Next Page
To Next Page IconTo Next Page
To Previous Page IconTo Previous Page
To Previous Page IconTo Previous Page
Loading...

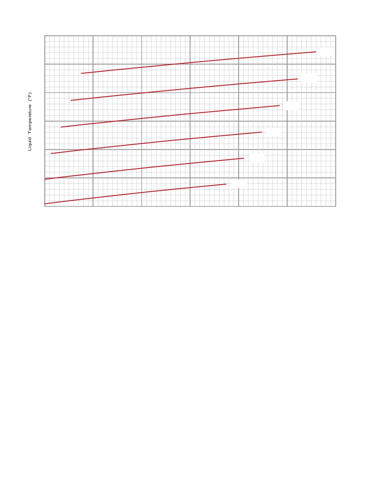
300 CHARGING CURVE CIRCUIT 4 - REHEAT - ALL-ALUMINUM COIL - 581100-01
Suction Pressure (psig)
70
80
90
100
110
120
Outdoor Temperature (°F)
105°
95°
115°
85°
75°
65°
130
110120 130140 15
01
60100
IV- START-UP OPERATION
A-Preliminary and Seasonal Checks
1 -         

2 -        

        

         
        

        
       
      

 



        

B-Cooling Start-up
NOTE-Crankcase heaters must be energized 24 hours
before attempting to start compressor. Set thermostat so
that there is no demand to prevent compressor from cy-
cling. Apply power to unit.
1 - I      

2 -     
 
     
      


       

        

       


 


Related product manuals