EasyManua.ls Logo

Lennox Enlight LGT300S4M

Lennox Enlight LGT300S4M
106 pages
To Next Page IconTo Next Page
To Next Page IconTo Next Page
To Previous Page IconTo Previous Page
To Previous Page IconTo Previous Page
Loading...

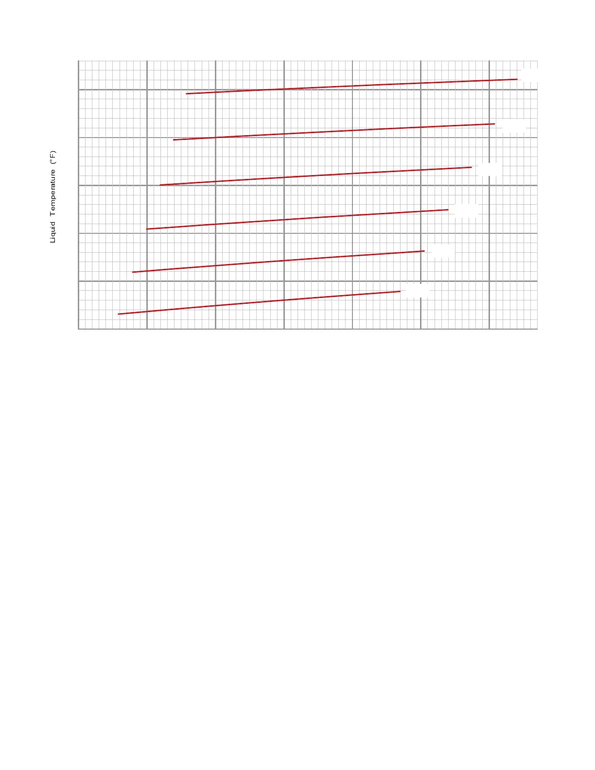
210 CHARGING CURVE CIRCUIT 4 - REHEAT - ALL-ALUMINUM COIL - 581092-01
Suction Pressure (psig)
70
80
90
100
110
120
Outdoor Temperature (°F)
105°
95°
115°
85°
75°
65°
60
130
110120 130140 150160100

Related product manuals