EasyManua.ls Logo

LG ARNU763B8A4 - Page 140

LG ARNU763B8A4
203 pages
Print Icon
To Next Page IconTo Next Page
To Next Page IconTo Next Page
To Previous Page IconTo Previous Page
To Previous Page IconTo Previous Page
Loading...
140 | LOW STATIC
MULTI V Ducted Indoor Unit Engineering Manual
Due to our policy of continuous product innovation, some specications may change without notication.
© LG Electronics U.S.A., Inc., Englewood Cliffs, NJ. All rights reserved. “LG” is a registered trademark of LG Corp.
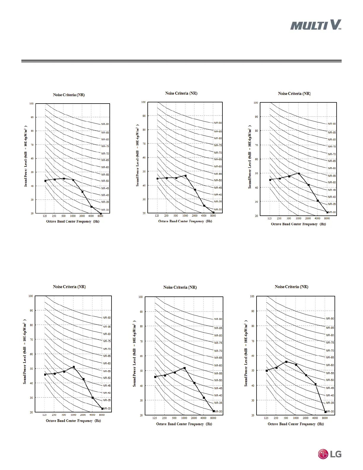
Figure 36: ARNU073L1G4, ARNU093L1G4, and ARNU123L2G4 Sound Power Level Diagrams.
DUCTED LOW STATIC
Acoustic Data
Sound Power Levels
Figure 37: ARNU153L2G4, ARNU183L2G4, and ARNU243L3G4 Sound Power Level Diagrams.
ARNU073L1G4 ARNU093L1G4 ARNU123L2G4
ARNU153L2G4 ARNU183L2G4 ARNU243L3G4

Other manuals for LG ARNU763B8A4

Related product manuals