EasyManua.ls Logo

LG ARNU763B8A4 - Page 172

LG ARNU763B8A4
203 pages
Print Icon
To Next Page IconTo Next Page
To Next Page IconTo Next Page
To Previous Page IconTo Previous Page
To Previous Page IconTo Previous Page
Loading...
172 | VAH
MULTI V Ducted Indoor Unit Engineering Manual
Due to our policy of continuous product innovation, some specications may change without notication.
© LG Electronics U.S.A., Inc., Englewood Cliffs, NJ. All rights reserved. “LG” is a registered trademark of LG Corp.
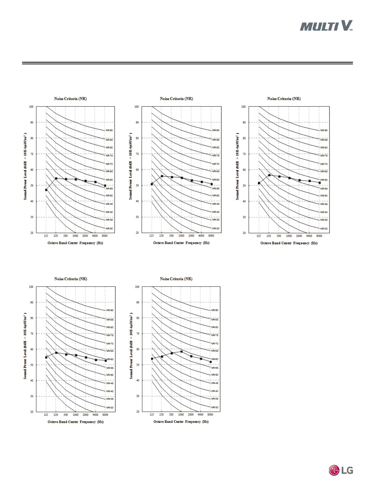
Figure 50: ARNU303NJA4, ARNU363NJA4, and ARNU423NKA4 Sound Power Level Diagrams.
Acoustic Data
VERTICAL / HORIZONTAL AIR HANDLER
Sound Power Levels
Figure 51: ARNU483NKA4 and ARNU543NKA4 Sound Power Level Diagrams.
ARNU303NJA4 ARNU363NJA4 ARNU423NKA4
ARNU483NKA4 ARNU543NKA4

Other manuals for LG ARNU763B8A4

Related product manuals