EasyManua.ls Logo

LG ARNU763B8A4 - Page 60

LG ARNU763B8A4
203 pages
Print Icon
To Next Page IconTo Next Page
To Next Page IconTo Next Page
To Previous Page IconTo Previous Page
To Previous Page IconTo Previous Page
Loading...
60 | HIGH STATIC
MULTI V Ducted Indoor Unit Engineering Manual
Due to our policy of continuous product innovation, some specications may change without notication.
© LG Electronics U.S.A., Inc., Englewood Cliffs, NJ. All rights reserved. “LG” is a registered trademark of LG Corp.
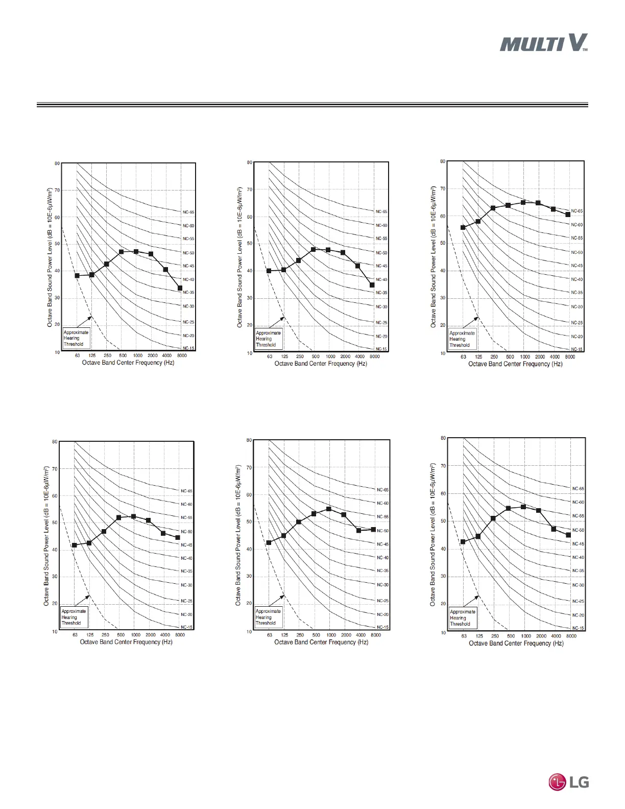
Figure 23: ARNU073BHA4, ARNU093BHA4, and ARNU123BHA4 Sound Power Level Diagrams.
ARNU073BHA4 ARNU093BHA4 ARNU123BHA4
Figure 24: ARNU153BHA4, ARNU183BHA4, and ARNU243BHA4 Sound Power Level Diagrams.
DUCTED HIGH STATIC
Acoustic Data
Sound Power Levels for BH Units
ARNU153BHA4 ARNU183BHA4 ARNU243BHA4

Other manuals for LG ARNU763B8A4

Related product manuals