EasyManua.ls Logo

LG ARNU763B8A4 - Page 73

LG ARNU763B8A4
203 pages
Print Icon
To Next Page IconTo Next Page
To Next Page IconTo Next Page
To Previous Page IconTo Previous Page
To Previous Page IconTo Previous Page
Loading...
HIGH STATIC | 73
Ducted High Static
Due to our policy of continuous product innovation, some specications may change without notication.
© LG Electronics U.S.A., Inc., Englewood Cliffs, NJ. All rights reserved. “LG” is a registered trademark of LG Corp.
DUCTED HIGH STATIC
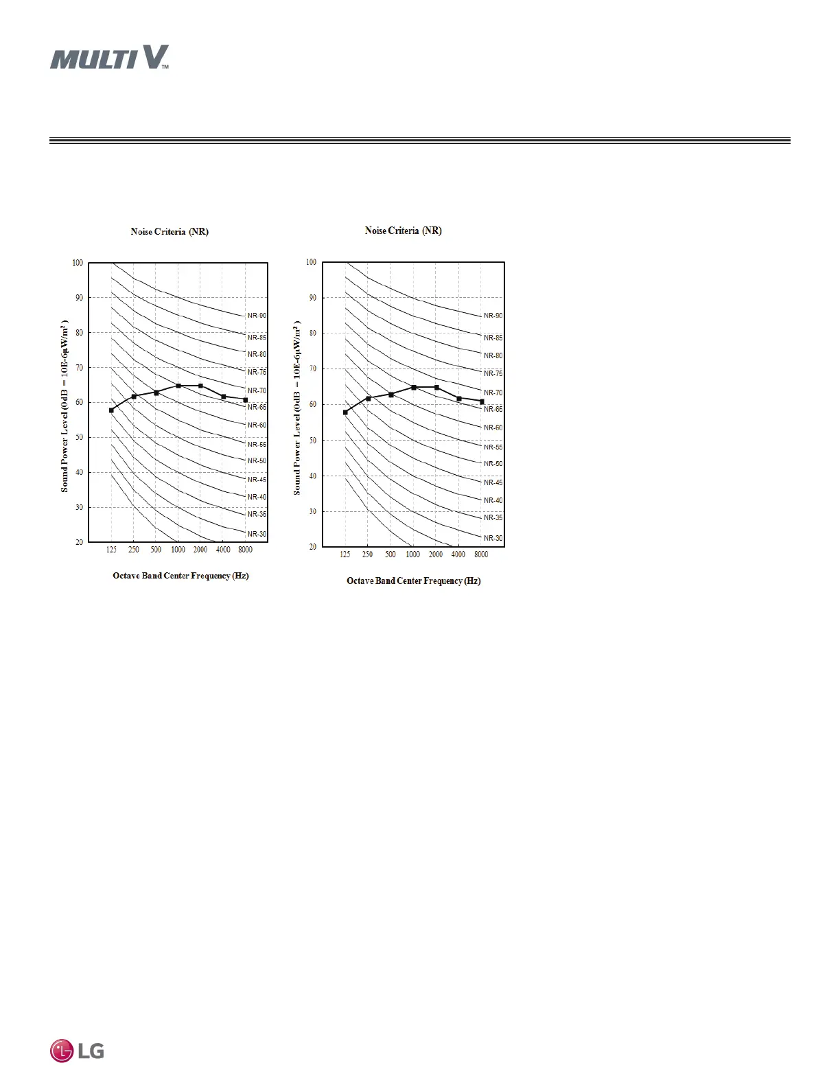
Acoustic Data
Sound Power Levels for B8 Units
Figure 25: ARNU363~763B8A4 and ARNU963B8A4 Sound Power Level Diagrams.
ARNU483B8A4, ARNU763B8A4

Other manuals for LG ARNU763B8A4

Related product manuals